Online Database of Chemicals from Around the World

化学品安全技术说明书

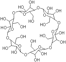
alpha-环糊精
[ CAS# 10016-20-3 ]

产品概述

structure of CAS# 10016-20-3, alpha-环糊精
产品名称 alpha-环糊精
CAS 登录号 10016-20-3
分子式 C36H60O30
分子量 972.84
alpha-环糊精的详细资料
alpha-环糊精的供应商
 
资料来源 SDS 样本
Alfa-Aesar
www.alfa.com/en/content/msds/USA/J13979.pdf
浏览或下载
Sigma-Aldrich
www.sigmaaldrich.com/catalog/Lookup.do?N5=All&N3=mode+matchpartialmax&N1=S_ID&ST=RS&N25=0&F=PR&D7=0&N4=10016-20-3
浏览或下载
TCI
www.spectrumchemical.com/MSDS/TCI-C0776.pdf
浏览或下载

免责声明

本页所列之化学品安全技术说明书样本系 chemBlink 公司搜集的互联网公开信息,仅用于指导化学品安全技术说明书的编辑与制作。chemBlink 竭诚提供可靠信息,然而不承诺其完备与准确。 阅读全文...




相关化学品安全技术说明书
O,O-二乙基 O-(2-异丙基-6-甲基-4-嘧啶基)硫代磷酸酯   1-(2-吡啶基)-1-丙胺   1-氰基-2-乙硫醇   甲基1-{(2S)-2-环己基-2-[(N-甲基-L-丙氨酰)氨基]乙酰基}-L-脯氨酰-beta-苯基-L-苯丙氨酸酯   BV 6   4-硝基苯肼   rac-乙烯双(4,5,6,7-四氢-1-茚基)二氯化锆   3-氨基-4-羟基甲基吡唑   3-氨基-2-氰基-5-甲基吡啶   SRT 1720