Online Database of Chemicals from Around the World

SDS Samples

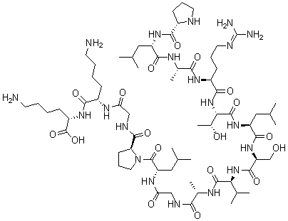
Syntide 2
[ CAS# 108334-68-5 ]

Product Info

structure of CAS# 108334-68-5, Syntide 2
Product Name Syntide 2
CAS Registry Number 108334-68-5
Molecular Formula C68H122N20O18
Molecular Weight 1507.82
More information of Syntide 2
Suppliers of Syntide 2
 
Source SDS Document
Alfa-Aesar
www.alfa.com/en/content/msds/USA/J62843.pdf
View / download
Cayman
www.caymanchem.com/msdss/15934m.pdf
View / download

Disclaimer

The SDS samples above are collected from the Internet by chemBlink and displayed here for the tutorial purpose only. chemBlink LLC provides the information contained herein in good faith but makes no representation as to its comprehensiveness or accuracy. Read full context...


More SDS files for chemicals
3-Bromo-5-[(methylsulfonyl)amino]pyridine   4-(4,4,5,5-Tetramethyl-1,3,2-dioxaborolan-2-yl)-1H-pyrazole-1-acetic acid   4-(4,4,5,5-Tetramethyl-1,3,2-dioxaborolan-2-yl)-1H-pyrazole-1-acetamide   2,4-Difluoro-N-[2-(methyloxy)-5-(4,4,5,5-tetramethyl-1,3,2-dioxaborolan-2-yl)-3-pyridinyl]benzenesulfonamide   N-[2-(Methyloxy)-5-(4,4,5,5-tetramethyl-1,3,2-dioxaborolan-2-yl)-3-pyridinyl]methanesulfonamide   2-Methyl-4-(2-pyrrolidinyl)thiazole   2-Amino-5-methyl-1,3,4-thiadiazole   4-Nitro-2-pyridinecarboxaldehyde   2-(Trifluoromethyl)-4-pyridinecarboxaldehyde   L-Norepinephrine bitartrate