Online Database of Chemicals from Around the World

化学品安全技术说明书

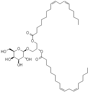
(2R)-2,3-二[[(9Z,12Z)-1-氧代-9,12-十八碳二烯-1-基]氧基]丙基 beta-D-吡喃半乳糖苷
[ CAS# 111187-15-6 ]

产品概述

structure of CAS# 111187-15-6, (2R)-2,3-二[[(9Z,12Z)-1-氧代-9,12-十八碳二烯-1-基]氧基]丙基 beta-D-吡喃半乳糖苷
产品名称 (2R)-2,3-二[[(9Z,12Z)-1-氧代-9,12-十八碳二烯-1-基]氧基]丙基 beta-D-吡喃半乳糖苷
CAS 登录号 111187-15-6
分子式 C45H78O10
分子量 779.09
(2R)-2,3-二[[(9Z,12Z)-1-氧代-9,12-十八碳二烯-1-基]氧基]丙基 beta-D-吡喃半乳糖苷的详细资料
(2R)-2,3-二[[(9Z,12Z)-1-氧代-9,12-十八碳二烯-1-基]氧基]丙基 beta-D-吡喃半乳糖苷的供应商
 
资料来源 SDS 样本
Ambeed
file.ambeed.com/static/upload/prosds/am/988/SDS-A987452.pdf
浏览或下载

免责声明

本页所列之化学品安全技术说明书样本系 chemBlink 公司搜集的互联网公开信息,仅用于指导化学品安全技术说明书的编辑与制作。chemBlink 竭诚提供可靠信息,然而不承诺其完备与准确。 阅读全文...




相关化学品安全技术说明书
氨基甲酸铵   2-甲基-1-萘氯化铵   N,N,N',N'-四甲基-1,6-己二胺   N-(1H-苯并三唑-1-基甲基)苯甲酰胺   1-(2,5-二氢-1H-吡咯-1-基)-2,2,2-三氟乙烷酮   溴-甲烷-D3   氯-甲烷-D3   二甲基膦酰氯   (2,4-二甲基苯基)膦酸   癸二酰二氯