Online Database of Chemicals from Around the World

化学品安全技术说明书

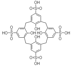
对磺酸基杯[4]芳烃
[ CAS# 112269-92-8 ]

产品概述

structure of CAS# 112269-92-8, 对磺酸基杯[4]芳烃
产品名称 对磺酸基杯[4]芳烃
CAS 登录号 112269-92-8
分子式 C28H24O16S4
分子量 744.74
对磺酸基杯[4]芳烃的详细资料
对磺酸基杯[4]芳烃的供应商
 
资料来源 SDS 样本
Sigma-Aldrich
www.sigmaaldrich.com/catalog/Lookup.do?N5=All&N3=mode+matchpartialmax&N1=S_ID&ST=RS&N25=0&F=PR&D7=0&N4=112269-92-8
浏览或下载
TCI
www.spectrumchemical.com/MSDS/TCI-S0469.pdf
浏览或下载

免责声明

本页所列之化学品安全技术说明书样本系 chemBlink 公司搜集的互联网公开信息,仅用于指导化学品安全技术说明书的编辑与制作。chemBlink 竭诚提供可靠信息,然而不承诺其完备与准确。 阅读全文...




相关化学品安全技术说明书
1-哒嗪-3-基乙酮   1,2-二(2-氯乙氧基)乙烷   4-[5-(3-羟基苯基)-2-噻吩基]-2-甲基苯酚   6-甲基氨基-1H-嘧啶-4-酮   2-乙基-6-甲基吡啶   2-氯-6-羟基-苯甲酸乙酯   2-乙烯基-6-甲基-吡啶   6-甲基吡啶-2-甲醇   6-甲基-2-吡啶甲醛   4-甲氧基-1,3,5-三嗪-2-胺