Online Database of Chemicals from Around the World

化学品安全技术说明书

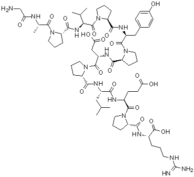
甘氨酰-L-丙氨酰-L-脯氨酰-L-缬氨酰-L-脯氨酰-L-酪氨酰-L-脯氨酰-L-alpha-天冬氨酰-L-脯氨酰-L-亮氨酰-L-alpha-谷氨酰-L-脯氨酰-L-精氨酸
[ CAS# 120944-72-1 ]

产品概述

structure of CAS# 120944-72-1, 甘氨酰-L-丙氨酰-L-脯氨酰-L-缬氨酰-L-脯氨酰-L-酪氨酰-L-脯氨酰-L-alpha-天冬氨酰-L-脯氨酰-L-亮氨酰-L-alpha-谷氨酰-L-脯氨酰-L-精氨酸
产品名称 甘氨酰-L-丙氨酰-L-脯氨酰-L-缬氨酰-L-脯氨酰-L-酪氨酰-L-脯氨酰-L-alpha-天冬氨酰-L-脯氨酰-L-亮氨酰-L-alpha-谷氨酰-L-脯氨酰-L-精氨酸
CAS 登录号 120944-72-1
分子式 C65H98N16O19
分子量 1407.57
甘氨酰-L-丙氨酰-L-脯氨酰-L-缬氨酰-L-脯氨酰-L-酪氨酰-L-脯氨酰-L-alpha-天冬氨酰-L-脯氨酰-L-亮氨酰-L-alpha-谷氨酰-L-脯氨酰-L-精氨酸的详细资料
甘氨酰-L-丙氨酰-L-脯氨酰-L-缬氨酰-L-脯氨酰-L-酪氨酰-L-脯氨酰-L-alpha-天冬氨酰-L-脯氨酰-L-亮氨酰-L-alpha-谷氨酰-L-脯氨酰-L-精氨酸的供应商
 
资料来源 SDS 样本
Alfa-Aesar
www.alfa.com/en/content/msds/USA/J65386.pdf
浏览或下载

免责声明

本页所列之化学品安全技术说明书样本系 chemBlink 公司搜集的互联网公开信息,仅用于指导化学品安全技术说明书的编辑与制作。chemBlink 竭诚提供可靠信息,然而不承诺其完备与准确。 阅读全文...




相关化学品安全技术说明书
2,2,6-三氟-1,3-苯并二氧戊环-5-胺   4-溴-2,5-二甲基-1H-吡咯-3-羧酸甲酯   2,5-二(2-甲基-2-丙基)-1,3-环戊二烯   1-甲基-1-[2-硝基-4-(三氟甲基)苯基]-肼   (羟基-2-萘基甲基)膦酸   N-[(1,1-二甲基乙氧基)羰基]-3-[[(4-甲氧基苯基)甲基]硫代]-L-缬氨酸   1-甲基吡咯烷   2-溴-5-氟吡嗪   2-溴嘧啶-4-甲腈   2-溴-5-嘧啶羧酸甲酯