Online Database of Chemicals from Around the World

化学品安全技术说明书

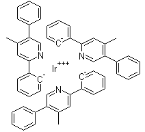
三[2-(4-甲基-5-苯基吡啶-2-基)苯]合铱
[ CAS# 1215692-43-5 ]

产品概述

structure of CAS# 1215692-43-5, 三[2-(4-甲基-5-苯基吡啶-2-基)苯]合铱
产品名称 三[2-(4-甲基-5-苯基吡啶-2-基)苯]合铱
CAS 登录号 1215692-43-5
分子式 C54H42IrN3
分子量 925.15
三[2-(4-甲基-5-苯基吡啶-2-基)苯]合铱的详细资料
三[2-(4-甲基-5-苯基吡啶-2-基)苯]合铱的供应商
 
资料来源 SDS 样本
Ambeed
file.ambeed.com/static/upload/prosds/am/328/SDS-A327799.pdf
浏览或下载

免责声明

本页所列之化学品安全技术说明书样本系 chemBlink 公司搜集的互联网公开信息,仅用于指导化学品安全技术说明书的编辑与制作。chemBlink 竭诚提供可靠信息,然而不承诺其完备与准确。 阅读全文...




相关化学品安全技术说明书
4-氨基-1H-吲哚-6-羧酸甲酯   3-溴-1,2,4-恶二唑-5-羧酸乙酯   3-溴-5-(溴甲基)-1,2,4-恶二唑   外型-1-氮杂双环[2.2.1]庚烷-3-羧酸甲酯   N-亚硝基-N-(甲基-d3)-3-氨基丙酸   三[2-(6-甲基-5-苯基吡啶-2-基)苯]合铱   乙醋氯芬酸   2-[(3-氯苯基)甲氧基]-6-(1-哌嗪基)吡嗪盐酸盐   对氨基苯磺酸   酮咯酸-d5