Online Database of Chemicals from Around the World

SDS Samples

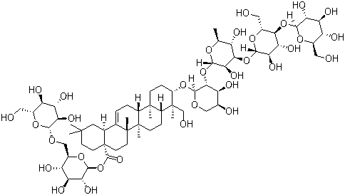
Macranthoidin B
[ CAS# 136849-88-2 ]

Product Info

structure of CAS# 136849-88-2, Macranthoidin B
Product Name Macranthoidin B
CAS Registry Number 136849-88-2
Molecular Formula C65H106O32
Molecular Weight 1399.52
More information of Macranthoidin B
Suppliers of Macranthoidin B
 
Source SDS Document
Sigma-Aldrich
www.sigmaaldrich.com/catalog/Lookup.do?N5=All&N3=mode+matchpartialmax&N1=S_ID&ST=RS&N25=0&F=PR&D7=0&N4=136849-88-2
View / download

Disclaimer

The SDS samples above are collected from the Internet by chemBlink and displayed here for the tutorial purpose only. chemBlink LLC provides the information contained herein in good faith but makes no representation as to its comprehensiveness or accuracy. Read full context...


More SDS files for chemicals
Phenmedipham   1,3,5,7,9,11,13,15-Octakis({[2-(3-Cyclohexen-1-Yl)Ethyl](Dimethyl)Silyl}Oxy)Pentacyclo[7.7.1.13,7.15,13.111,15]Octasiloxane   Cyclosulfamuron   O-((Ethoxycarbonyl)cyanomethyleneamino)-N,N,N',N'-tetramethyluronium tetrafluoroborate   4-[4-(Hydroxymethyl)-3-Methoxyphenoxy]-Butanoic Acid   P,P-Bis(3-Methylphenyl)-Phosphinous Chloride   P,P-Bis[4-(Trifluoromethyl)Phenyl]-Phosphinous Chloride   Bis(4-Chlorophenyl)Phosphinous Chloride   Bis(4-Methoxyphenyl)Phosphinous Chloride   Ethyl 2,2-Difluoropentanoate