Online Database of Chemicals from Around the World

SDS Samples

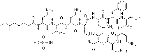
Polymyxin B sulfate
[ CAS# 1405-20-5 ]

Product Info

structure of CAS# 1405-20-5, Polymyxin B sulfate
Product Name Polymyxin B sulfate
CAS Registry Number 1405-20-5
Molecular Formula C56H98N16O13.H2SO4
Molecular Weight 1301.56
More information of Polymyxin B sulfate
Suppliers of Polymyxin B sulfate
 
Source SDS Document
Alfa-Aesar
www.alfa.com/en/content/msds/USA/J61763.pdf
View / download
Sigma-Aldrich
www.sigmaaldrich.com/catalog/Lookup.do?N5=All&N3=mode+matchpartialmax&N1=S_ID&ST=RS&N25=0&F=PR&D7=0&N4=1405-20-5
View / download
TCI
www.spectrumchemical.com/MSDS/TCI-P1923.pdf
View / download

Disclaimer

The SDS samples above are collected from the Internet by chemBlink and displayed here for the tutorial purpose only. chemBlink LLC provides the information contained herein in good faith but makes no representation as to its comprehensiveness or accuracy. Read full context...


More SDS files for chemicals
N,N'-1,4-Phenylenebis-Acetamide   Methyl chanofruticosinate   Neomycin sulfate   tert-butyl N-[(3S,5R)-5-methyl-1-(3-nitro-4-pyridyl)-3-piperidyl]carbamate   3-Phenyl-1'-(Phenylmethyl)-[3,4'-Bipiperidine]-2,6-Dione   4-Chlorobenzyl cyanide   Capastat sulfate   Gentamycin sulfate   4,4,4-Trifluoro-1-(2-Thienyl)-1,3-Butanedione - Europium (3:1)   Nickel Phthalocyanine