Online Database of Chemicals from Around the World

化学品安全技术说明书

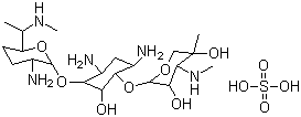
硫酸庆大霉素
[ CAS# 1405-41-0 ]

产品概述

structure of CAS# 1405-41-0, 硫酸庆大霉素
产品名称 硫酸庆大霉素
CAS 登录号 1405-41-0
分子式 C21H43N5O7.H2SO4
分子量 575.67
硫酸庆大霉素的详细资料
硫酸庆大霉素的供应商
 
资料来源 SDS 样本
Alfa-Aesar
www.alfa.com/en/content/msds/USA/J16051.pdf
浏览或下载
Sigma-Aldrich
www.sigmaaldrich.com/catalog/Lookup.do?N5=All&N3=mode+matchpartialmax&N1=S_ID&ST=RS&N25=0&F=PR&D7=0&N4=1405-41-0
浏览或下载
TCI
www.spectrumchemical.com/MSDS/TCI-G0383.pdf
浏览或下载

免责声明

本页所列之化学品安全技术说明书样本系 chemBlink 公司搜集的互联网公开信息,仅用于指导化学品安全技术说明书的编辑与制作。chemBlink 竭诚提供可靠信息,然而不承诺其完备与准确。 阅读全文...




相关化学品安全技术说明书
叔-丁基N-[(3S,5R)-5-甲基-1-(3-硝基-4-吡啶基)-3-哌啶基]氨基甲酸酯   3-苯基-1'-(苯基甲基)-[3,4'-联哌啶]-2,6-二酮   硫酸多粘菌素 B   对氯苯乙腈   硫酸卷曲霉素   4,4,4-三氟-1-(2-噻吩基)-1,3-丁烷二酮-铕(3:1)   镍酞菁   磷酸泰乐菌素   酒石酸泰洛星   N-(3-甲氧基苯基)-N-甲基-beta-丙氨酸