Online Database of Chemicals from Around the World

化学品安全技术说明书

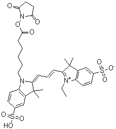
2-[3-[1-[6-[(2,5-二氧代-1-吡咯烷基)氧基]-6-氧代己基]-1,3-二氢-3,3-二甲基-5-磺基-2H-吲哚-2-亚基]-1-丙烯-1-基]-1-乙基-3,3-二甲基-5-磺基-3H-吲哚鎓内盐
[ CAS# 146368-16-3 ]

产品概述

structure of CAS# 146368-16-3, 2-[3-[1-[6-[(2,5-二氧代-1-吡咯烷基)氧基]-6-氧代己基]-1,3-二氢-3,3-二甲基-5-磺基-2H-吲哚-2-亚基]-1-丙烯-1-基]-1-乙基-3,3-二甲基-5-磺基-3H-吲哚鎓内盐
产品名称 2-[3-[1-[6-[(2,5-二氧代-1-吡咯烷基)氧基]-6-氧代己基]-1,3-二氢-3,3-二甲基-5-磺基-2H-吲哚-2-亚基]-1-丙烯-1-基]-1-乙基-3,3-二甲基-5-磺基-3H-吲哚鎓内盐
CAS 登录号 146368-16-3
分子式 C35H41N3O10S2
分子量 727.85
2-[3-[1-[6-[(2,5-二氧代-1-吡咯烷基)氧基]-6-氧代己基]-1,3-二氢-3,3-二甲基-5-磺基-2H-吲哚-2-亚基]-1-丙烯-1-基]-1-乙基-3,3-二甲基-5-磺基-3H-吲哚鎓内盐的详细资料
2-[3-[1-[6-[(2,5-二氧代-1-吡咯烷基)氧基]-6-氧代己基]-1,3-二氢-3,3-二甲基-5-磺基-2H-吲哚-2-亚基]-1-丙烯-1-基]-1-乙基-3,3-二甲基-5-磺基-3H-吲哚鎓内盐的供应商
 
资料来源 SDS 样本
Ambeed
file.ambeed.com/static/upload/prosds/am/949/SDS-A948587.pdf
浏览或下载

免责声明

本页所列之化学品安全技术说明书样本系 chemBlink 公司搜集的互联网公开信息,仅用于指导化学品安全技术说明书的编辑与制作。chemBlink 竭诚提供可靠信息,然而不承诺其完备与准确。 阅读全文...




相关化学品安全技术说明书
3,5-二甲基-1H-吲哚-2-甲醛   1-(5-羧基戊基)-2,3,3-三甲基-3H-吲哚-1-鎓-5-磺酸酯   2-[3-[1-(5-羧基戊基)-1,3-二氢-3,3-二甲基-5-磺基-2H-吲哚-2-亚基]-1-丙烯-1-基]-1-乙基-3,3-二甲基-5-磺基-3H-吲哚鎓内盐   Fluorolink Cy5   Cy 5   1-[(2-乙基己基)氧基]-4-甲氧基苯   2,5-二(氯甲基)-1-甲氧基-4-(2-乙基己氧基)苯   3,7-二甲基-1H-吲哚-2-甲醛   四苯基硼酸铵   叔丁基亚磺酰胺