Online Database of Chemicals from Around the World

SDS Samples

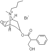
Scopolamine butylbromide
[ CAS# 149-64-4 ]

Product Info

structure of CAS# 149-64-4, Scopolamine butylbromide
Product Name Scopolamine butylbromide
CAS Registry Number 149-64-4
Molecular Formula C21H30BrNO4
Molecular Weight 440.37
More information of Scopolamine butylbromide
Suppliers of Scopolamine butylbromide
 
Source SDS Document
Sigma-Aldrich
www.sigmaaldrich.com/catalog/Lookup.do?N5=All&N3=mode+matchpartialmax&N1=S_ID&ST=RS&N25=0&F=PR&D7=0&N4=149-64-4
View / download
Matrix
www.matrixscientific.com/media/msds/09/83/44/MxMSDS_098344.pdf
View / download

Disclaimer

The SDS samples above are collected from the Internet by chemBlink and displayed here for the tutorial purpose only. chemBlink LLC provides the information contained herein in good faith but makes no representation as to its comprehensiveness or accuracy. Read full context...


More SDS files for chemicals
(S)-2-Piperazinemethanol dihydrochloride   2,4'-Diaminobenzophenone   4-Methoxy-1,3-Isobenzofurandione   3-Methoxyphthalic acid   2-Piperidino-5-trifluoromethylaniline   Vorinostat   7-Phenylcarbamoylheptanoic acid   2-Boc-aminomethylpyrrolidine   Chrysosplenol D   2-(4-Bromophenyl)-N-Methoxy-N-Methylacetamide