Online Database of Chemicals from Around the World

SDS Samples

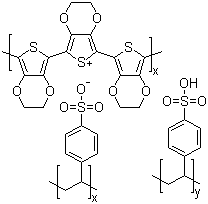
Poly(3,4-ethylenedioxythiophene)-poly(styrenesulfonate)
[ CAS# 155090-83-8 ]

Product Info

structure of CAS# 155090-83-8, Poly(3,4-ethylenedioxythiophene)-poly(styrenesulfonate)
Product Name Poly(3,4-ethylenedioxythiophene)-poly(styrenesulfonate)
CAS Registry Number 155090-83-8
More information of Poly(3,4-ethylenedioxythiophene)-poly(styrenesulfonate)
Suppliers of Poly(3,4-ethylenedioxythiophene)-poly(styrenesulfonate)
 
Source SDS Document
Sigma-Aldrich
www.sigmaaldrich.com/catalog/Lookup.do?N5=All&N3=mode+matchpartialmax&N1=S_ID&ST=RS&N25=0&F=PR&D7=0&N4=155090-83-8
View / download

Disclaimer

The SDS samples above are collected from the Internet by chemBlink and displayed here for the tutorial purpose only. chemBlink LLC provides the information contained herein in good faith but makes no representation as to its comprehensiveness or accuracy. Read full context...


More SDS files for chemicals
(2R,4R)-4-Hydroxy-1,2-pyrrolidinedicarboxylic acid 2-methyl 1-(phenylmethyl) ester   [10,13-Dimethyl-17-(6-methylheptan-2-yl)-2,3,4,7,8,9,11,12,14,15,16,17-dodecahydro-1H-cyclopenta[a]phenanthren-3-yl] methyl carbonate   trans-3-Chlorotetrahydro-4-(Phenylthio)-Thiophene 1,1-Dioxide   2-Phenylpyridine-5-boric acid   2,4-Diaminothieno[2,3-d]Pyrimidine-6-Carboxylic Acid   Tranylcypromine   1,3,5-Tri(2-thienyl)benzene   4-Amino-2-chloro-5-fluoropyrimidine   Dodecyltriphenylphosphonium bromide   2-Ethylpyrrole