Online Database of Chemicals from Around the World

SDS Samples

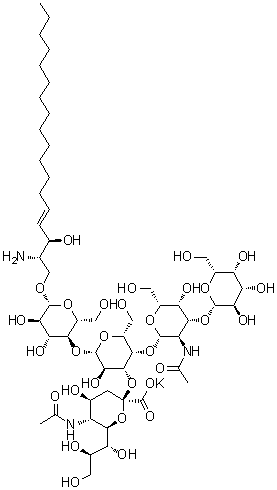
(2S,3R,4E)-2-Amino-3-hydroxy-4-octadecenyl O-(N-acetyl-alpha-neuraminosyl)-(2→3)-O-[O-beta-D-galactopyranosyl-(1→3)-2-(acetylamino)-2-deoxy-beta-D-galactopyranosyl-(1→4)]-O-beta-D-galactopyranosyl-(1→4)-beta-D-glucopyranoside monopotassium salt
[ CAS# 171483-40-2 ]

Product Info

structure of CAS# 171483-40-2, (2S,3R,4E)-2-Amino-3-hydroxy-4-octadecenyl O-(N-acetyl-alpha-neuraminosyl)-(2→3)-O-[O-beta-D-galactopyranosyl-(1→3)-2-(acetylamino)-2-deoxy-beta-D-galactopyranosyl-(1→4)]-O-beta-D-galactopyranosyl-(1→4)-beta-D-glucopyranoside monopotassium salt
Product Name (2S,3R,4E)-2-Amino-3-hydroxy-4-octadecenyl O-(N-acetyl-alpha-neuraminosyl)-(2→3)-O-[O-beta-D-galactopyranosyl-(1→3)-2-(acetylamino)-2-deoxy-beta-D-galactopyranosyl-(1→4)]-O-beta-D-galactopyranosyl-(1→4)-beta-D-glucopyranoside monopotassium salt
CAS Registry Number 171483-40-2
Molecular Formula C55H96N3O30K
Molecular Weight 1318.45
More information of (2S,3R,4E)-2-Amino-3-hydroxy-4-octadecenyl O-(N-acetyl-alpha-neuraminosyl)-(2→3)-O-[O-beta-D-galactopyranosyl-(1→3)-2-(acetylamino)-2-deoxy-beta-D-galactopyranosyl-(1→4)]-O-beta-D-galactopyranosyl-(1→4)-beta-D-glucopyranoside monopotassium salt
Suppliers of (2S,3R,4E)-2-Amino-3-hydroxy-4-octadecenyl O-(N-acetyl-alpha-neuraminosyl)-(2→3)-O-[O-beta-D-galactopyranosyl-(1→3)-2-(acetylamino)-2-deoxy-beta-D-galactopyranosyl-(1→4)]-O-beta-D-galactopyranosyl-(1→4)-beta-D-glucopyranoside monopotassium salt
 
Source SDS Document
Sigma-Aldrich
www.sigmaaldrich.com/catalog/Lookup.do?N5=All&N3=mode+matchpartialmax&N1=S_ID&ST=RS&N25=0&F=PR&D7=0&N4=171483-40-2
View / download

Disclaimer

The SDS samples above are collected from the Internet by chemBlink and displayed here for the tutorial purpose only. chemBlink LLC provides the information contained herein in good faith but makes no representation as to its comprehensiveness or accuracy. Read full context...


More SDS files for chemicals
2-Phenylethylchlorodimethylsilane   [3-(Chlorodimethylsilyl)Propyl]-Benzene   Ethyl 3,5-dimethylisoxazole-4-carboxylate   3-Ethyl-5-Methyl-4-Isoxazolecarboxylicacid   (2R,3S)-2-[(1R)-1-[3,5-Bis(trifluoromethyl)phenyl]ethoxy]-3-(4-fluorophenyl)morpholine hydrochloride   2-Methoxy-5-fluoropyrimidine   Myrislignan   (1R,3R)-1-(1,3-Benzodioxol-5-yl)-2-(chloroacetyl)-2,3,4,9-tetrahydro-1H-pyrido[3,4-b]indole-3-carboxylic acid methyl ester   Dalbavancin   Rineterkib