Online Database of Chemicals from Around the World

化学品安全技术说明书

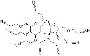
八(O-氰基乙基)蔗糖
[ CAS# 18304-13-7 ]

产品概述

structure of CAS# 18304-13-7, 八(O-氰基乙基)蔗糖
产品名称 八(O-氰基乙基)蔗糖
CAS 登录号 18304-13-7
分子式 C36H46N8O11
分子量 766.80
八(O-氰基乙基)蔗糖的详细资料
八(O-氰基乙基)蔗糖的供应商
 
资料来源 SDS 样本
Alfa-Aesar
www.alfa.com/en/content/msds/USA/A18122.pdf
浏览或下载

免责声明

本页所列之化学品安全技术说明书样本系 chemBlink 公司搜集的互联网公开信息,仅用于指导化学品安全技术说明书的编辑与制作。chemBlink 竭诚提供可靠信息,然而不承诺其完备与准确。 阅读全文...




相关化学品安全技术说明书
[(1S,2R)-3-[[(4-氨基苯基)磺酰基](异丁基)氨基]-1-苄基-2-羟基丙基]氨基甲酸叔丁酯   乙基(2E)-2-氰基-3-(4-甲基苯基)丙烯酸酯   2-氰基-3-苯基巴豆酸乙酯   正十五烷腈   N-对甲苯磺酰基氨基甲酸叔丁酯   3-氨基-6-氯-3,4-二氢喹唑啉-2(1H)-酮   1,3-丙酮二羧酸二甲酯   1-乙基苯并(cd)吲哚-2(1H)-酮   4-(二甲氧基甲基)苯甲醇   (2-羟基-2-甲基丙基)氨基甲酸叔丁酯