Online Database of Chemicals from Around the World

化学品安全技术说明书

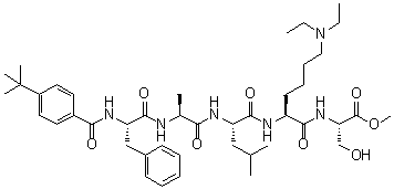
N-[4-(叔丁基)苯甲酰基]-L-苯丙氨酰-L-丙氨酰-L-亮氨酰-N6,N6-二乙基-L-赖氨酰-L-丝氨酸甲酯
[ CAS# 1872382-47-2 ]

产品概述

structure of CAS# 1872382-47-2, N-[4-(叔丁基)苯甲酰基]-L-苯丙氨酰-L-丙氨酰-L-亮氨酰-N6,N6-二乙基-L-赖氨酰-L-丝氨酸甲酯
产品名称 N-[4-(叔丁基)苯甲酰基]-L-苯丙氨酰-L-丙氨酰-L-亮氨酰-N6,N6-二乙基-L-赖氨酰-L-丝氨酸甲酯
CAS 登录号 1872382-47-2
分子式 C43H66N6O8
分子量 795.02
N-[4-(叔丁基)苯甲酰基]-L-苯丙氨酰-L-丙氨酰-L-亮氨酰-N6,N6-二乙基-L-赖氨酰-L-丝氨酸甲酯的详细资料
N-[4-(叔丁基)苯甲酰基]-L-苯丙氨酰-L-丙氨酰-L-亮氨酰-N6,N6-二乙基-L-赖氨酰-L-丝氨酸甲酯的供应商
 
资料来源 SDS 样本
Cayman
www.caymanchem.com/msdss/19237m.pdf
浏览或下载

免责声明

本页所列之化学品安全技术说明书样本系 chemBlink 公司搜集的互联网公开信息,仅用于指导化学品安全技术说明书的编辑与制作。chemBlink 竭诚提供可靠信息,然而不承诺其完备与准确。 阅读全文...




相关化学品安全技术说明书
奥塞米韦酸   (S)-2-硝基-6,7-二氢-5H-咪唑并[2,1-b][1,3]恶嗪-6-醇   (R)-2-硝基-6,7-二氢-5H-咪唑并[2,1-b][1,3]恶嗪-6-醇   PA-824   2-(N-叔丁氧羰基氨基)-5-(氨基甲基)吡啶   2-氯-3-硝基-6-苯基吡啶   1,1,3,3-四甲基-1,3-二[2-(7-氧杂双环[4.1.0]庚烷-3-基)乙基]二硅氧烷   亮氨酰丙基内酯乙酸酯 EP 杂质F   达西司坦   O-叔丁基-N-[(苯基甲氧基)羰基]-L-丝氨酸甲酯