Online Database of Chemicals from Around the World

SDS Samples

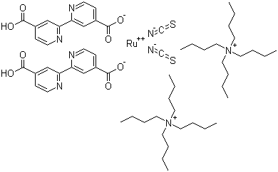
Di-tetrabutylammonium cis-bis(isothiocyanato)bis(2,2'-bipyridyl-4,4'-dicarboxylato)ruthenium(II)
[ CAS# 207347-46-4 ]

Product Info

structure of CAS# 207347-46-4, Di-tetrabutylammonium cis-bis(isothiocyanato)bis(2,2'-bipyridyl-4,4'-dicarboxylato)ruthenium(II)
Product Name Di-tetrabutylammonium cis-bis(isothiocyanato)bis(2,2'-bipyridyl-4,4'-dicarboxylato)ruthenium(II)
CAS Registry Number 207347-46-4
Molecular Formula C58H86N8O8RuS2
Molecular Weight 1188.55
More information of Di-tetrabutylammonium cis-bis(isothiocyanato)bis(2,2'-bipyridyl-4,4'-dicarboxylato)ruthenium(II)
Suppliers of Di-tetrabutylammonium cis-bis(isothiocyanato)bis(2,2'-bipyridyl-4,4'-dicarboxylato)ruthenium(II)
 
Source SDS Document
Sigma-Aldrich
www.sigmaaldrich.com/catalog/Lookup.do?N5=All&N3=mode+matchpartialmax&N1=S_ID&ST=RS&N25=0&F=PR&D7=0&N4=207347-46-4
View / download
TCI
www.spectrumchemical.com/MSDS/TCI-B3514.pdf
View / download

Disclaimer

The SDS samples above are collected from the Internet by chemBlink and displayed here for the tutorial purpose only. chemBlink LLC provides the information contained herein in good faith but makes no representation as to its comprehensiveness or accuracy. Read full context...


More SDS files for chemicals
N2,N2-Diethyl-1,3,5-Triazine-2,4,6-Triamine   (2R,3S,4S,5R)-3,4,5,6-Tetrahydroxyoxane-2-Carboxylic Acid   1,8-Bis(dimethylamino)naphtalene   Methyl 2-amino-4,5-difluorobenzoate   3-Methoxy-6-methylphenol   2-Amino-4-methoxyphenol   1-Phenyl-2-butanaMine hydrochloride   Saikosaponin C   Saikosaponin A   4-Hydroxy-3,5-dimethoxybenzenepropanol