Online Database of Chemicals from Around the World

化学品安全技术说明书

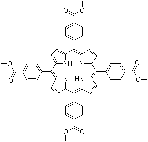
5,10,15,20-四(4-羧基苯基)卟吩四甲酯
[ CAS# 22112-83-0 ]

产品概述

structure of CAS# 22112-83-0, 5,10,15,20-四(4-羧基苯基)卟吩四甲酯
产品名称 5,10,15,20-四(4-羧基苯基)卟吩四甲酯
CAS 登录号 22112-83-0
分子式 C52H38N4O8
分子量 846.88
5,10,15,20-四(4-羧基苯基)卟吩四甲酯的详细资料
5,10,15,20-四(4-羧基苯基)卟吩四甲酯的供应商
 
资料来源 SDS 样本
Ambeed
file.ambeed.com/static/upload/prosds/am/987/SDS-A986233.pdf
浏览或下载

免责声明

本页所列之化学品安全技术说明书样本系 chemBlink 公司搜集的互联网公开信息,仅用于指导化学品安全技术说明书的编辑与制作。chemBlink 竭诚提供可靠信息,然而不承诺其完备与准确。 阅读全文...




相关化学品安全技术说明书
4-[[芴甲氧羰基]甲基氨基]丁酸   (4-羟基-2-甲基萘-1-基)乙酸酯   中位-四(4-氯苯基)卟吩   5,10,15,20-四(4-甲氧基苯基)-21H,23H-卟吩   5,10,15,20-四(3-羟基苯基)卟啉   5,10,15,20-四(4-氨基苯基)卟啉   5,15-二苯基-21H,23H-卟吩   1-苯基咪唑烷-2,4,5-三酮   乙胺硝酸盐   反式-N-(叔丁氧羰基)-4-苯基吡咯烷-3-羧酸