Online Database of Chemicals from Around the World

化学品安全技术说明书

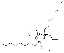
1,1,3,3-四乙氧基-1,3-二辛基二硅氧烷
[ CAS# 26496-09-3 ]

产品概述

structure of CAS# 26496-09-3, 1,1,3,3-四乙氧基-1,3-二辛基二硅氧烷
产品名称 1,1,3,3-四乙氧基-1,3-二辛基二硅氧烷
CAS 登录号 26496-09-3
分子式 C24H54O5Si2
分子量 478.85
1,1,3,3-四乙氧基-1,3-二辛基二硅氧烷的详细资料
1,1,3,3-四乙氧基-1,3-二辛基二硅氧烷的供应商
 
资料来源 SDS 样本
Alfa-Aesar
www.alfa.com/en/content/msds/USA/L16478.pdf
浏览或下载

免责声明

本页所列之化学品安全技术说明书样本系 chemBlink 公司搜集的互联网公开信息,仅用于指导化学品安全技术说明书的编辑与制作。chemBlink 竭诚提供可靠信息,然而不承诺其完备与准确。 阅读全文...




相关化学品安全技术说明书
2-氯-5-(氯磺酰基)-4-氟苯甲酸   2-氯-4-氟-5-碘苯甲酸   (3-氧代-2,3-二氢-4H-1,4-苯并恶嗪-4-基)乙酸   (6-氯-3-氧代-2,3-二氢-4H-1,4-苯并恶嗪-4-基)乙酸   4-氨基硫代吗啉 1,1-二氧化物   N-(1-金刚烷基)氨基甲酰肼   4-(溴甲基)苯甲酸乙酯   四丁基铵亚硝酸盐   二甲苯青 FF   酸性蓝 9