Online Database of Chemicals from Around the World

SDS Samples

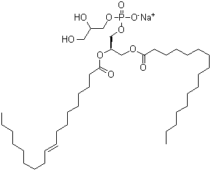
1-Palmitoyl-2-oleoyl-sn-glycero-3-phospho-(1'-rac-glycerol) sodium salt
[ CAS# 268550-95-4 ]

Product Info

structure of CAS# 268550-95-4, 1-Palmitoyl-2-oleoyl-sn-glycero-3-phospho-(1'-rac-glycerol) sodium salt
Product Name 1-Palmitoyl-2-oleoyl-sn-glycero-3-phospho-(1'-rac-glycerol) sodium salt
CAS Registry Number 268550-95-4
Molecular Formula C40H77O10P.Na
Molecular Weight 772.00
More information of 1-Palmitoyl-2-oleoyl-sn-glycero-3-phospho-(1'-rac-glycerol) sodium salt
Suppliers of 1-Palmitoyl-2-oleoyl-sn-glycero-3-phospho-(1'-rac-glycerol) sodium salt
 
Source SDS Document
Sigma-Aldrich
www.sigmaaldrich.com/catalog/Lookup.do?N5=All&N3=mode+matchpartialmax&N1=S_ID&ST=RS&N25=0&F=PR&D7=0&N4=268550-95-4
View / download
Cayman
www.caymanchem.com/msdss/15105m.pdf
View / download

Disclaimer

The SDS samples above are collected from the Internet by chemBlink and displayed here for the tutorial purpose only. chemBlink LLC provides the information contained herein in good faith but makes no representation as to its comprehensiveness or accuracy. Read full context...


More SDS files for chemicals
3-({[(2-Methyl-2-Propanyl)Oxy]Carbonyl}Amino)-3-(2-Naphthyl)Propanoic Acid   (4S)-8-[[(1,1-Dimethylethoxy)carbonyl]amino]-4-[[(9H-fluoren-9-ylmethoxy)carbonyl]amino]octanoic acid   (4R,7R)-Moxifloxacin   5-(2,4-Dichlorophenyl)-1H-Pyrazol-4-Amine   tert-Butyl 1-oxo-2,8-diazaspiro[4.5]decane-8-carboxylate   2-Methyl-2-Propanyl Carbamothioylcarbamate   N-Fmoc-N',N'-dimethyl-L-arginine (asymmetrical)   Ethyl 2-amino-5-iodobenzoate   Tin(IV) 2,3-naphthalocyanine dichloride   Penfluridol