Online Database of Chemicals from Around the World

化学品安全技术说明书

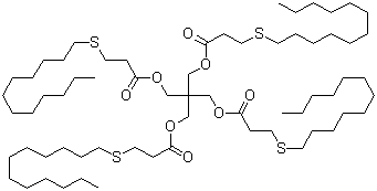
抗氧化剂 TH-412S
[ CAS# 29598-76-3 ]

产品概述

structure of CAS# 29598-76-3, 抗氧化剂 TH-412S
产品名称 抗氧化剂 TH-412S
CAS 登录号 29598-76-3
分子式 C65H124O8S4
分子量 1161.95
抗氧化剂 TH-412S的详细资料
抗氧化剂 TH-412S的供应商
 
资料来源 SDS 样本
Accu-Standard
www.accustandard.com/docshare/msds/SDS_PLAS-AX-030N.pdf
浏览或下载

免责声明

本页所列之化学品安全技术说明书样本系 chemBlink 公司搜集的互联网公开信息,仅用于指导化学品安全技术说明书的编辑与制作。chemBlink 竭诚提供可靠信息,然而不承诺其完备与准确。 阅读全文...




相关化学品安全技术说明书
1-氯-2,3-吲哚二酮   2-丙烯酸异辛基酯   1-(4,6-二氨基-1,3,5-三嗪-2-基)胍盐酸盐   N-[(4-乙酰氨基苯基)磺酰基]乙酰胺   环氧柏木烷   2-苯基戊二酸酐   N-苄基羟胺盐酸盐   2-羟基-4-(甲氧羰基)苯甲酸   N1-(5-硝基-2-吡啶基)-1,2-乙二胺   N-(二苯基膦基)-P,P-二苯基亚膦酰胺