Online Database of Chemicals from Around the World

SDS Samples

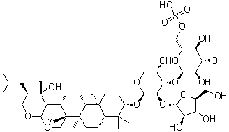
Bacopaside I
[ CAS# 382148-47-2 ]

Product Info

structure of CAS# 382148-47-2, Bacopaside I
Product Name Bacopaside I
CAS Registry Number 382148-47-2
Molecular Formula C46H74O20S
Molecular Weight 979.13
More information of Bacopaside I
Suppliers of Bacopaside I
 
Source SDS Document
Sigma-Aldrich
www.sigmaaldrich.com/catalog/Lookup.do?N5=All&N3=mode+matchpartialmax&N1=S_ID&ST=RS&N25=0&F=PR&D7=0&N4=382148-47-2
View / download

Disclaimer

The SDS samples above are collected from the Internet by chemBlink and displayed here for the tutorial purpose only. chemBlink LLC provides the information contained herein in good faith but makes no representation as to its comprehensiveness or accuracy. Read full context...


More SDS files for chemicals
1-(3-Methoxyphenoxy)-2-Propanol   6-Methoxy-4-pyrimidinecarboxylic acid   6-Amino-Pyrimidine-4-Carboxylic Acid   Bacopaside II   4-Methyl-2-(5-Phenyl-1H-Pyrazol-3-Yl)Phenol   2-(Bromomethyl)-1,1,1,3,3,3-Hexafluoropropane   1-Bromo-2-(Trifluoromethyl)-3,3,3-Trifluoro Prop-1-Ene   1-Hexyl-3-methylimidazolium bis(trifluoromethanesulfonyl)amide   Coumarin 6   4,4'-Diethynylbiphenyl