Online Database of Chemicals from Around the World

SDS Samples

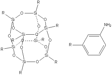
1,3,5,7,9,11,13,15-Octakis(3-aminophenyl)octasilsesquioxane
[ CAS# 518359-82-5 ]

Product Info

structure of CAS# 518359-82-5, 1,3,5,7,9,11,13,15-Octakis(3-aminophenyl)octasilsesquioxane
Product Name 1,3,5,7,9,11,13,15-Octakis(3-aminophenyl)octasilsesquioxane
CAS Registry Number 518359-82-5
Molecular Formula C48H48N8O12Si8
Molecular Weight 1153.63
More information of 1,3,5,7,9,11,13,15-Octakis(3-aminophenyl)octasilsesquioxane
Suppliers of 1,3,5,7,9,11,13,15-Octakis(3-aminophenyl)octasilsesquioxane
 
Source SDS Document
Ambeed
file.ambeed.com/static/upload/prosds/am/492/SDS-A491560.pdf
View / download

Disclaimer

The SDS samples above are collected from the Internet by chemBlink and displayed here for the tutorial purpose only. chemBlink LLC provides the information contained herein in good faith but makes no representation as to its comprehensiveness or accuracy. Read full context...


More SDS files for chemicals
1,4-Diiodo-2-(Trifluoromethyl)Benzene   5-Hydroxy-2-methoxypyridine   5-Bromo-1H-pyrazole-3-carboxaldehyde   3',5'-Dichloro-[1,1'-biphenyl]-4-methanamine hydrochloride   [4-(2-Chlorophenyl)Phenyl]Methylamine Hydrochloride   4-(3,4-Dimethoxy-Phenyl)-Thiazol-2-Ylamine   N-Methylbenzenesulfonamide   2-Cyano-N-Phenethyl-Acetamide   2-Cyano-N-(4-Ethoxy-Phenyl)-Acetamide   Allamandicin