Online Database of Chemicals from Around the World

化学品安全技术说明书

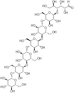
纤维七糖
[ CAS# 52646-27-2 ]

产品概述

structure of CAS# 52646-27-2, 纤维七糖
产品名称 纤维七糖
CAS 登录号 52646-27-2
分子式 C42H72O36
分子量 1153.00
纤维七糖的详细资料
纤维七糖的供应商
 
资料来源 SDS 样本
Alfa-Aesar
www.alfa.com/en/content/msds/USA/J67803.pdf
浏览或下载

免责声明

本页所列之化学品安全技术说明书样本系 chemBlink 公司搜集的互联网公开信息,仅用于指导化学品安全技术说明书的编辑与制作。chemBlink 竭诚提供可靠信息,然而不承诺其完备与准确。 阅读全文...




相关化学品安全技术说明书
4-(4-氯丁基)吡啶   2,3,4,9-四氢-2-[2-(甲基氨基)苯甲酰基]-1H-吡啶并[3,4-b]吲哚-1-酮   5-甲氧基-3,4-二氢-2H-吡咯   氯菊酯   乙基 2,3,4,6-O-四乙酰基-alpha-D-硫代吡喃葡萄糖苷   4-氯-3,5-二硝基甲苯   2,3-二甲基-5-氟吲哚   1-溴-6-甲基庚烷   2-异硫氰酸基吡啶   6-氯茚满-1-羧酸