Online Database of Chemicals from Around the World

SDS Samples

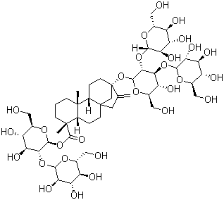
Rebaudioside D
[ CAS# 63279-13-0 ]

Product Info

structure of CAS# 63279-13-0, Rebaudioside D
Product Name Rebaudioside D
CAS Registry Number 63279-13-0
Molecular Formula C50H80O28
Molecular Weight 1129.17
More information of Rebaudioside D
Suppliers of Rebaudioside D
 
Source SDS Document
Sigma-Aldrich
www.sigmaaldrich.com/catalog/Lookup.do?N5=All&N3=mode+matchpartialmax&N1=S_ID&ST=RS&N25=0&F=PR&D7=0&N4=63279-13-0
View / download

Disclaimer

The SDS samples above are collected from the Internet by chemBlink and displayed here for the tutorial purpose only. chemBlink LLC provides the information contained herein in good faith but makes no representation as to its comprehensiveness or accuracy. Read full context...


More SDS files for chemicals
1-Amino-3-(3-Methoxyphenoxy)-2-Propanol   1-Amino-3-(4-Ethylphenoxy)-2-Propanol   L-Aspartic acid dibenzyl ester hydrochloride   2-Morpholino-2-Phenylacetamide   Tetrabromophthalic anhydride   4-Bromo-1-naphthalenesulfonyl chloride   1-Bromo-4-iodonaphthalene   Tetraiodophthalic Anhydride   1-(9-Bromophenanthren-3-Yl)Ethanone   Calcifediol