Online Database of Chemicals from Around the World

化学品安全技术说明书

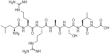
肯普肽
[ CAS# 65189-71-1 ]

产品概述

structure of CAS# 65189-71-1, 肯普肽
产品名称 肯普肽
CAS 登录号 65189-71-1
分子式 C32H61N13O9
分子量 771.91
肯普肽的详细资料
肯普肽的供应商
 
资料来源 SDS 样本
Alfa-Aesar
www.alfa.com/en/content/msds/USA/J60591.pdf
浏览或下载
Cayman
www.caymanchem.com/msdss/15555m.pdf
浏览或下载

免责声明

本页所列之化学品安全技术说明书样本系 chemBlink 公司搜集的互联网公开信息,仅用于指导化学品安全技术说明书的编辑与制作。chemBlink 竭诚提供可靠信息,然而不承诺其完备与准确。 阅读全文...




相关化学品安全技术说明书
5-乙酰基-2-吡啶羧酸   6-溴喹啉-2-甲腈   邻溴苯乙胺   5,6-二氯烟腈   4-(氯甲基)袂康宁   全氟对二甲苯   盐酸育亨宾   4-硝基-1H-吡唑-5-甲酰胺   2-甲基去氢骆驼蓬碱   2-(4-甲氧基苯基)丙二醛