Online Database of Chemicals from Around the World

SDS Samples

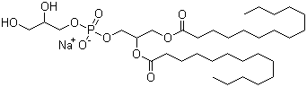
Dimyristoyl phosphatidylglycerole sodium salt
[ CAS# 67232-80-8 ]

Product Info

structure of CAS# 67232-80-8, Dimyristoyl phosphatidylglycerole sodium salt
Product Name Dimyristoyl phosphatidylglycerole sodium salt
CAS Registry Number 67232-80-8
Molecular Formula C34H66O10P.Na
Molecular Weight 688.84
More information of Dimyristoyl phosphatidylglycerole sodium salt
Suppliers of Dimyristoyl phosphatidylglycerole sodium salt
 
Source SDS Document
Sigma-Aldrich
www.sigmaaldrich.com/catalog/Lookup.do?N5=All&N3=mode+matchpartialmax&N1=S_ID&ST=RS&N25=0&F=PR&D7=0&N4=67232-80-8
View / download

Disclaimer

The SDS samples above are collected from the Internet by chemBlink and displayed here for the tutorial purpose only. chemBlink LLC provides the information contained herein in good faith but makes no representation as to its comprehensiveness or accuracy. Read full context...


More SDS files for chemicals
(4-thiazol-2-ylphenyl)methanamine   3-(2-Thiazolyl)-Benzenemethanamine   (3R)-1-(2-Aminoethyl)-3-pyrrolidinol   1-[3-(4-Methylpiperazin-1-yl)phenyl]methanamine   bromo-(3-bromo-2-thienyl)zinc   Dipalmitoyl phosphatidylglycerole sodium salt   O-(Tetrahydro-2H-pyran-2-yl)hydroxylamine   5-Nitroguaiacol sodium salt   (1Z)-2,3,3,3-Tetrafluoro-1-Iodo-1-Propene   3-Ethynylthiophene