Online Database of Chemicals from Around the World

SDS Samples

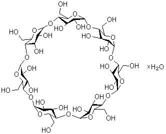
beta-Cyclodextrin hydrate
[ CAS# 68168-23-0 ]

Product Info

structure of CAS# 68168-23-0, beta-Cyclodextrin hydrate
Product Name beta-Cyclodextrin hydrate
CAS Registry Number 68168-23-0
Molecular Formula C42H70O35.xH2O
More information of beta-Cyclodextrin hydrate
Suppliers of beta-Cyclodextrin hydrate
 
Source SDS Document
Alfa-Aesar
www.alfa.com/en/content/msds/USA/A14529.pdf
View / download
Sigma-Aldrich
www.sigmaaldrich.com/catalog/Lookup.do?N5=All&N3=mode+matchpartialmax&N1=S_ID&ST=RS&N25=0&F=PR&D7=0&N4=68168-23-0
View / download
Acros-Organics
www.acros.com/DesktopModules/Acros_Search_Results/Acros_Search_Results.aspx?search_type=CAS&SearchString=68168-23-0
View / download

Disclaimer

The SDS samples above are collected from the Internet by chemBlink and displayed here for the tutorial purpose only. chemBlink LLC provides the information contained herein in good faith but makes no representation as to its comprehensiveness or accuracy. Read full context...


More SDS files for chemicals
5-Cyclohexylamino-[1,3,4]Thiadiazole-2-Thiol   4-(Bromomethyl)phenylboronic acid   3,6-Dimethyl-2-pyridinecarbonitrile   1-Methylpyrrolidin-3-one   (2R)-2-Hydroxy-Propanoic Acid 1,1-Dimethylethyl Ester   Allyl 2,2,3,3-Tetrafluoropropyl Ether   Isopropyl Isostearate   N-Linoleoylethanolamine   N,N-Dimethyl-1,2-cyclohexanediamine   Isoliensinine