Online Database of Chemicals from Around the World

SDS Samples

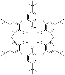
4-tert-Butylcalix[6]arene
[ CAS# 78092-53-2 ]

Product Info

structure of CAS# 78092-53-2, 4-tert-Butylcalix[6]arene
Product Name 4-tert-Butylcalix[6]arene
CAS Registry Number 78092-53-2
Molecular Formula C66H84O6
Molecular Weight 973.37
More information of 4-tert-Butylcalix[6]arene
Suppliers of 4-tert-Butylcalix[6]arene
 
Source SDS Document
Alfa-Aesar
www.alfa.com/en/content/msds/USA/L14473.pdf
View / download
Sigma-Aldrich
www.sigmaaldrich.com/catalog/Lookup.do?N5=All&N3=mode+matchpartialmax&N1=S_ID&ST=RS&N25=0&F=PR&D7=0&N4=78092-53-2
View / download
TCI
www.spectrumchemical.com/MSDS/TCI-H0714.pdf
View / download

Disclaimer

The SDS samples above are collected from the Internet by chemBlink and displayed here for the tutorial purpose only. chemBlink LLC provides the information contained herein in good faith but makes no representation as to its comprehensiveness or accuracy. Read full context...


More SDS files for chemicals
1-(3-Methyl-2-pyridinyl)ethanamine   N,N'-Bis-Fmoc-L-lysine   3-(Trimethylsilyl)-2-Naphthyl Trifluoromethanesulfonate   Methyl (4R,5S)-2,2,5-trimethyl-1,3-dioxolane-4-carboxylate   Tetraethyl orthocarbonate   2-{[2-(4-Pyridinyl)ethyl]sulfanyl}ethanol   (7R)-7-(Dipropylamino)-5,6,7,8-tetrahydro-1-naphthalenol hydrobromide   N-[(4-Fluorophenyl)Sulfonyl]-L-Alanine   Tetraethyl orthosilicate   1,4-Dimethylpyridinium p-toluenesulfonate