Online Database of Chemicals from Around the World

化学品安全技术说明书

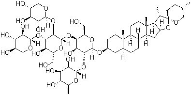
刺蒺藜素
[ CAS# 79974-46-2 ]

产品概述

structure of CAS# 79974-46-2, 刺蒺藜素
产品名称 刺蒺藜素
CAS 登录号 79974-46-2
分子式 C55H90O25
分子量 1151.29
刺蒺藜素的详细资料
刺蒺藜素的供应商
 
资料来源 SDS 样本
Sigma-Aldrich
www.sigmaaldrich.com/catalog/Lookup.do?N5=All&N3=mode+matchpartialmax&N1=S_ID&ST=RS&N25=0&F=PR&D7=0&N4=79974-46-2
浏览或下载

免责声明

本页所列之化学品安全技术说明书样本系 chemBlink 公司搜集的互联网公开信息,仅用于指导化学品安全技术说明书的编辑与制作。chemBlink 竭诚提供可靠信息,然而不承诺其完备与准确。 阅读全文...




相关化学品安全技术说明书
4-甲基-3-硝基喹啉   4-氯-1-甲基-3-硝基喹啉-2(1H)-酮   4,4'-异亚丙基二(2-叔丁基苯酚)   4,4'-(1-甲基亚乙基)双(2-甲基苯酚)   二(五甲基环戊二烯基)钴六氟磷酸盐   顺式-1'-氧代-螺[环己基-1,3'(1'H)-呋喃并[3,4-c]吡啶]-4-羧酸盐酸盐   2-(二氟甲基)苯甲腈   己唑醇   4-(4-氟苯基)-6-异丙基-2-(甲基磺酰基)嘧啶-5-羧酸甲酯   5-(溴甲基)-4-(4-氟苯基)-6-异丙基-2-[甲基(甲磺酰)氨基]嘧啶