Online Database of Chemicals from Around the World

SDS Samples

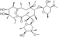
Clarithromycin
[ CAS# 81103-11-9 ]

Product Info

structure of CAS# 81103-11-9, Clarithromycin
Product Name Clarithromycin
CAS Registry Number 81103-11-9
Molecular Formula C38H69NO13
Molecular Weight 747.96
More information of Clarithromycin
Suppliers of Clarithromycin
 
Source SDS Document
Alfa-Aesar
www.alfa.com/en/content/msds/USA/J66005.pdf
View / download
Sigma-Aldrich
www.sigmaaldrich.com/catalog/Lookup.do?N5=All&N3=mode+matchpartialmax&N1=S_ID&ST=RS&N25=0&F=PR&D7=0&N4=81103-11-9
View / download
TCI
www.spectrumchemical.com/MSDS/TCI-C2220.pdf
View / download

Disclaimer

The SDS samples above are collected from the Internet by chemBlink and displayed here for the tutorial purpose only. chemBlink LLC provides the information contained herein in good faith but makes no representation as to its comprehensiveness or accuracy. Read full context...


More SDS files for chemicals
3alpha-Hydroxy Pravastatin Sodium Salt   Cisapride   N-(1-Adamantylmethyl)-2-Chloroacetamide   7-Chloro-4-(4-hydroxyanilino)quinoline   cis-4-Hydroxy-L-proline methyl ester   11-O-Methylclarithromycin   Fluorene-D10   4-(Methylsulfanyl)benzohydrazide   2-Amino-N-ethylbenzenesulfonanilide    2-Bromo-4-(trifluoromethyl)phenol