Online Database of Chemicals from Around the World

化学品安全技术说明书

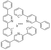
三[2-(5-苯基-吡啶-2-基)苯]合铱
[ CAS# 852151-17-8 ]

产品概述

structure of CAS# 852151-17-8, 三[2-(5-苯基-吡啶-2-基)苯]合铱
产品名称 三[2-(5-苯基-吡啶-2-基)苯]合铱
CAS 登录号 852151-17-8
分子式 C51H36IrN3
分子量 883.07
三[2-(5-苯基-吡啶-2-基)苯]合铱的详细资料
三[2-(5-苯基-吡啶-2-基)苯]合铱的供应商
 
资料来源 SDS 样本
Ambeed
file.ambeed.com/static/upload/prosds/am/379/SDS-A378152.pdf
浏览或下载

免责声明

本页所列之化学品安全技术说明书样本系 chemBlink 公司搜集的互联网公开信息,仅用于指导化学品安全技术说明书的编辑与制作。chemBlink 竭诚提供可靠信息,然而不承诺其完备与准确。 阅读全文...




相关化学品安全技术说明书
乙基4-(2-氯-3-吡啶基)-4-氧代丁酸酯   2,2'-亚甲基双(4,6-二叔丁基苯基)磷酸酯钠   2-乙酰基-4,5-二氢-3H-吡咯   2,2'-二碘-4,4'-二溴联苯   (4S)-3-[(5S)-5-(4-氟苯基)-5-羟基-1-氧代戊基]-4-(苄基)-2-恶唑烷酮   5-(3-吡啶基氧基)-2-糠酸甲酯   5-(3-吡啶基氧基)-2-糠酸   N-甲基-N-[3-(2-甲基-1,3-噻唑-4-基)苄基]胺   (5-噻吩-2-基异恶唑-3-基)甲胺   5-异氰酸-4-甲基-2-苯基-1,3-噻唑