Online Database of Chemicals from Around the World

SDS Samples

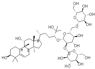
Mogroside III-A1
[ CAS# 88901-42-2 ]

Product Info

structure of CAS# 88901-42-2, Mogroside III-A1
Product Name Mogroside III-A1
CAS Registry Number 88901-42-2
Molecular Formula C48H82O19
Molecular Weight 963.15
More information of Mogroside III-A1
Suppliers of Mogroside III-A1
 
Source SDS Document
Ambeed
file.ambeed.com/static/upload/prosds/am/1000/SDS-A999913.pdf
View / download

Disclaimer

The SDS samples above are collected from the Internet by chemBlink and displayed here for the tutorial purpose only. chemBlink LLC provides the information contained herein in good faith but makes no representation as to its comprehensiveness or accuracy. Read full context...


More SDS files for chemicals
(S)-1-Boc-2-propylpiperazine   Atrial Natriuretic Factor (1-28) (Rat)   Bafilomycin A1   Setamycin   Mogroside V   Mogroside II-A2   Xestospongin C   N-tert-Butyl-3-(2-hydroxypropan-2-yl)-5-oxo-2,5-dihydro-1H-1,2,4-triazole-1-carboxamide   4-(1,3-Dioxo-1H-benzo[de]isoquinolin-2(3H)-yl)butanoic acid   2-(4-Methoxybenzylidene)Succinic Acid