Online Database of Chemicals from Around the World

化学品安全技术说明书

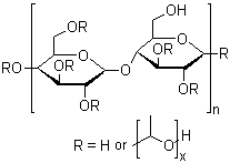
羟丙基纤维素
[ CAS# 9004-64-2 ]

产品概述

structure of CAS# 9004-64-2, 羟丙基纤维素
产品名称 羟丙基纤维素
CAS 登录号 9004-64-2
羟丙基纤维素的详细资料
羟丙基纤维素的供应商
 
资料来源 SDS 样本
Alfa-Aesar
www.alfa.com/en/content/msds/USA/43400.pdf
浏览或下载
Sigma-Aldrich
www.sigmaaldrich.com/catalog/Lookup.do?N5=All&N3=mode+matchpartialmax&N1=S_ID&ST=RS&N25=0&F=PR&D7=0&N4=9004-64-2
浏览或下载
TCI
www.spectrumchemical.com/MSDS/TCI-H0386.pdf
浏览或下载

免责声明

本页所列之化学品安全技术说明书样本系 chemBlink 公司搜集的互联网公开信息,仅用于指导化学品安全技术说明书的编辑与制作。chemBlink 竭诚提供可靠信息,然而不承诺其完备与准确。 阅读全文...




相关化学品安全技术说明书
葡聚糖   匙羹藤提取物   乙基纤维素   透明质酸   羟乙基纤维素   羟丙基甲基纤维素   葡聚糖铁   甲基纤维素   硝酸纤维素   聚甲基聚硅氧烷