Online Database of Chemicals from Around the World

化学品安全技术说明书

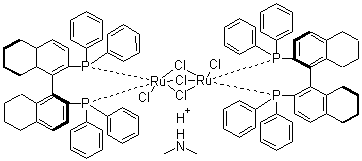
双[(S)-(-)-2,2'-双(二苯基膦)-5,5',6,6',7,7',8,8'-八氢-1,1'-联萘基]五氯化二钌 二甲基铵盐
[ CAS# 944451-12-1 ]

产品概述

structure of CAS# 944451-12-1, 双[(S)-(-)-2,2'-双(二苯基膦)-5,5',6,6',7,7',8,8'-八氢-1,1'-联萘基]五氯化二钌 二甲基铵盐
产品名称 双[(S)-(-)-2,2'-双(二苯基膦)-5,5',6,6',7,7',8,8'-八氢-1,1'-联萘基]五氯化二钌 二甲基铵盐
CAS 登录号 944451-12-1
分子式 C88H80Cl5P4Ru2.C2H7N.H
分子量 1686.97
双[(S)-(-)-2,2'-双(二苯基膦)-5,5',6,6',7,7',8,8'-八氢-1,1'-联萘基]五氯化二钌 二甲基铵盐的详细资料
双[(S)-(-)-2,2'-双(二苯基膦)-5,5',6,6',7,7',8,8'-八氢-1,1'-联萘基]五氯化二钌 二甲基铵盐的供应商
 
资料来源 SDS 样本
Sigma-Aldrich
www.sigmaaldrich.com/catalog/Lookup.do?N5=All&N3=mode+matchpartialmax&N1=S_ID&ST=RS&N25=0&F=PR&D7=0&N4=944451-12-1
浏览或下载
Strem
www.strem.com/uploads/sds/sd44-0517_US.pdf
浏览或下载

免责声明

本页所列之化学品安全技术说明书样本系 chemBlink 公司搜集的互联网公开信息,仅用于指导化学品安全技术说明书的编辑与制作。chemBlink 竭诚提供可靠信息,然而不承诺其完备与准确。 阅读全文...




相关化学品安全技术说明书
2-溴-1-[4-(3-溴-2-噻吩基)苯基]乙酮   5-[(甲基氨基)甲基]-N-苯基-2-嘧啶胺   5-(吗啉-4-鎓-4-基甲基)-1,2-恶唑-3-羧酸酯   三(mu-氯)双[(R)-(+)-2,2'-双[二(3,5-二甲基苯基)膦]-1,1'-联萘]二氯化二钌二甲基铵盐   三(mu-氯)双[(R)-(+)-2,2'-双(二对甲苯基膦)-1,1'-联萘]二氯化二钌   (S)-[(RUCL(DM-SEGPHOS))2(mu-CL)3][NH2ME2]   [(S)-(-)-2,2'-双[二(3,5-二甲基苯基)膦]-1,1'-联萘基](对伞花烃)二氯化钌   [(S)-(-)-2,2'-双[二(3,5-二甲基苯基)膦]-1,1'-联萘基](对伞花烃)二氯化钌   [(R)-(+)-2,2'-双(二苯基膦)-5,5',6,6',7,7',8,8'-八氢-1,1'-联萘基](对伞花烃)二氯化钌   [(S)-(+)-2,2'-双(二苯基膦)-5,5',6,6',7,7',8,8'-八氢-1,1'-联萘基](对伞花烃)二氯化钌