Online Database of Chemicals from Around the World

Ulapualide A
[CAS# 100045-73-6]

Suppliers
CAS#: 100045-73-6
Product: Ulapualide A
No suppilers available for the product.
Identification
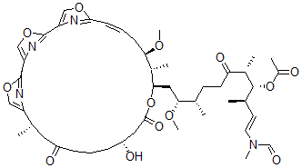
Name Ulapualide A
Molecular Structure CAS#: 100045-73-6, Ulapualide A
Molecular Formula C46H64N4O13
Molecular Weight 881.03
CAS Registry Number 100045-73-6
SMILES [C@@H]4(OC(=O)C[C@H](O)CCCC(=O)C[C@@H](C1=COC(=N1)C2=COC(=N2)C3=COC(=N3)\C=C/C[C@@H](OC)[C@@H]4C)C)C[C@@H](OC)[C@H](CCC(=O)[C@@H]([C@H](OC(=O)C)[C@@H](\C=C\N(C=O)C)C)C)C
InChI 1S/C46H64N4O13/c1-27(16-17-38(55)30(4)44(62-32(6)52)28(2)18-19-50(7)26-51)40(58-9)22-41-31(5)39(57-8)14-11-15-42-47-36(24-59-42)45-49-37(25-61-45)46-48-35(23-60-46)29(3)20-33(53)12-10-13-34(54)21-43(56)63-41/h11,15,18-19,23-31,34,39-41,44,54H,10,12-14,16-17,20-22H2,1-9H3/b15-11-,19-18+/t27-,28+,29-,30-,31-,34+,39+,40+,41+,44+/m0/s1
InChIKey LVCVJHOYJVOSGI-GALWPMFLSA-N
Market Analysis Reports
List of Reports Available for Ulapualide A
Related Products
4-O-Acetyl-21-O-De(Aminocarbonyl)-27-Dem...  Amantocillin  N,N'-Ethylenebis(N,N-dimethylthiuram dis...  Butyl-Trimethylsilane  4-Nitrobenzenediazonium Chloride  3-Methylpent-1-Yn-3-Yl Pentanoate  Sodium Propyl Sulfate  Dipotassium Silicate  2-Butoxy-2-Methylpropane  2-[2-[Hydroxymethyl-[2-(7-Methyloctanoyl...  Calcium 5-Methyl-2-[(2Z)-2-(2-Oxonaphtha...  2-[2-[Hydroxymethyl-[2-(Prop-2-Enoylamin...  Sodium Butyl Sulfate  1-Methylamino-2-Sulfosulfanylethane  2-Diethylamino-1-Naphthalen-2-Ylpropan-1...