Online Database of Chemicals from Around the World

Oligophosphoglycerol-Atp
[CAS# 101968-93-8]

供应商
CAS#: 101968-93-8
产品: Oligophosphoglycerol-Atp
暂时没有厂家供应该产品。
基本信息
产品名称 Oligophosphoglycerol-Atp
英文名 Oligophosphoglycerol-Atp
别名 3-[[(2R,3S,4R,5R)-5-(6-Aminopurin-9-Yl)-4-Hydroxy-2-[[Hydroxy-(Hydroxy-Phosphonooxy-Phosphoryl)Oxy-Phosphoryl]Oxymethyl]Tetrahydrofuran-3-Yl]Oxy-Hydroxy-Phosphoryl]Oxy-2-Hydroxy-Propanoic Acid; 3-[[(2R,3S,4R,5R)-5-(6-Amino-9-Purinyl)-4-Hydroxy-2-[[Hydroxy-(Hydroxy-Phosphonooxyphosphoryl)Oxyphosphoryl]Oxymethyl]-3-Tetrahydrofuranyl]Oxy-Hydroxyphosphoryl]Oxy-2-Hydroxypropanoic Acid; 3-[[(2R,3S,4R,5R)-5-(6-Aminopurin-9-Yl)-4-Hydroxy-2-[[Hydroxy-(Hydroxy-Phosphonooxy-Phosphoryl)Oxy-Phosphoryl]Oxymethyl]Tetrahydrofuran-3-Yl]Oxy-Hydroxy-Phosphoryl]Oxy-2-Hydroxy-Propionic Acid
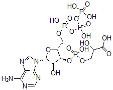
分子结构 CAS 登录号:101968-93-8, Oligophosphoglycerol-Atp
分子式 C13H21N5O19P4
分子量 675.23
CAS 登录号 101968-93-8
分子行输入简码 SMILES [C@H]1(O[C@@H]([C@@H](O[P](OCC(O)C(=O)O)(=O)O)[C@H]1O)CO[P](O[P](O[P](=O)(O)O)(=O)O)(=O)O)[N]3C2=NC=NC(=C2N=C3)N
国际化学标识码 InChI 1S/C13H21N5O19P4/c14-10-7-11(16-3-15-10)18(4-17-7)12-8(20)9(35-39(26,27)32-1-5(19)13(21)22)6(34-12)2-33-40(28,29)37-41(30,31)36-38(23,24)25/h3-6,8-9,12,19-20H,1-2H2,(H,21,22)(H,26,27)(H,28,29)(H,30,31)(H2,14,15,16)(H2,23,24,25)/t5?,6-,8-,9-,12-/m1/s1
国际化学标识检索码 InChIKey BVGPWHMILIFADE-NRJACJQQSA-N
物理化学性质
密度 2.57g/cm3 (计算值)
沸点 1120.277°C at 760 mmHg (计算值)
闪点 631.321°C (计算值)
市场分析报告
请浏览Oligophosphoglycerol-Atp市场分析报告总目录
相关产品
(R)-4-(2-氨基-1-羟基乙基)-3-氯-1...  12-氢过氧基-5,8,11,14,17-二十碳五...  1-乙氧羰基-4-(1-萘基氨基甲酰)哌嗪  甲基(5Z)-5-(二甲基氨基亚肼基)咪唑-4-羧...  邻苯二甲酸钠盐  N'-氨基-4-苯基吡啶-2-甲脒    2,2-二环己基-5-((二甲基氨基)甲基)-1,...  6-氰基-7-羟基-4,8-二甲基香豆素  N-苯基氨基甲酸乙酯  (R)-4-(2-氨基-1-羟基乙基)-5-氯-1...  2,4-二氯-1,3-二硝基苯  2-(4-环己基苯氧基)乙醇  2,6-二氨基-苯甲酸  4-甲基庚二酸