Online Database of Chemicals from Around the World

Elaeocarpusin
[CAS# 102382-31-0]

供应商
CAS#: 102382-31-0
产品: Elaeocarpusin
暂时没有厂家供应该产品。
基本信息
产品名称 Elaeocarpusin
英文名 Elaeocarpusin
别名 Aids-121630; Aids121630; Elaeocarpusin
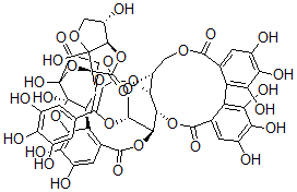
分子结构 CAS 登录号:102382-31-0, Elaeocarpusin
分子式 C47H34O32
分子量 1110.77
CAS 登录号 102382-31-0
分子行输入简码 SMILES [C@]3%11(OC%10([C@]2(O)OC1=C(O)C(=CC9=C1[C@@H]2C3(C(=O)O[C@H]4[C@H]7[C@H]([C@@H](O[C@@H]4COC(C5=CC(=C(C(=C5C6=C(C(=C(C=C6C(O7)=O)O)O)O)O)O)O)=O)OC(=O)C8=CC(=C(C(=C8)O)O)O)OC9=O)CC%10=O)O)O)C(O[C@H]%12C%11(O)OC[C@@H]%12O)=O
国际化学标识码 InChI 1S/C47H34O32/c48-13-1-9(2-14(49)24(13)55)36(61)77-40-33-32-30(19(72-40)8-70-37(62)10-3-15(50)25(56)28(59)21(10)22-11(38(63)73-32)4-16(51)26(57)29(22)60)75-41(65)43-6-20(54)45(67,79-44(43)42(66)76-35-18(53)7-71-47(35,44)69)46(68)34(43)23-12(39(64)74-33)5-17(52)27(58)31(23)78-46/h1-5,18-19,30,32-35,40,48-53,55-60,67-69H,6-8H2/t18-,19+,30+,32-,33+,34+,35+,40-,43?,44+,45?,46+,47?/m0/s1
国际化学标识检索码 InChIKey XCXWMHRRISFUFF-HPJHKSEOSA-N
物理化学性质
密度 2.309g/cm3 (计算值)
市场分析报告
请浏览Elaeocarpusin市场分析报告总目录
相关产品
N-[(4-氨基-2-甲基嘧啶-5-基)甲基]-N...  3-甲基-1-苯基-1,3,8-三氮杂螺[4.5]...  绣线菊碱IX  绣线菊碱IV  4-氰基-N-(4,4'-二硝基(1,1'-联苯)...  3-(N-苯基氨基)-1,2-丙烷二醇 1-油酸酯  4-(2,2-二苯基-乙基)-1H-咪唑  3,3-二甲基-1-苯基-2-苯并呋喃-1-醇  3-羧酸-哌香豆司特  1-金刚烷胺柠檬酸盐单水合物  4-氟苯基-1-亚甲基-2-(4-乙氧羰基-4-苯...  二苯甲基1-甲基哌啶-4-羧酸酯  4-苯基-1-[4-[4-(4-苯基-3,6-二氢...  1-[(4-甲基苯基)氨基甲酰]-4-苯基-哌啶-...  Pavezan