Online Database of Chemicals from Around the World

藓苔抑制素8
[CAS# 102580-64-3]

供应商
CAS#: 102580-64-3
产品: 藓苔抑制素8
暂时没有厂家供应该产品。
基本信息
产品名称 藓苔抑制素8
英文名 Bryostatin 8
别名 Nsc369872
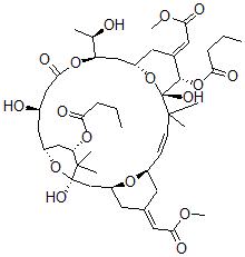
分子结构 CAS 登录号:102580-64-3, 藓苔抑制素8
分子式 C45H68O17
分子量 881.02
CAS 登录号 102580-64-3
分子行输入简码 SMILES [C@@]12(C([C@@H](OC(=O)CCC)C[C@H](O1)C[C@H](CC(O[C@H](C[C@H]4O[C@@](C(\C=C\[C@@H]3O[C@H](C2)C/C(=C/C(=O)OC)C3)(C)C)([C@H](/C(=C/C(=O)OC)C4)OC(=O)CCC)O)[C@H](O)C)=O)O)(C)C)O
国际化学标识码 InChI 1S/C45H68O17/c1-10-12-36(48)59-35-24-32-21-29(47)22-40(52)58-34(26(3)46)23-31-19-28(20-39(51)56-9)41(60-37(49)13-11-2)45(54,62-31)42(4,5)15-14-30-16-27(18-38(50)55-8)17-33(57-30)25-44(53,61-32)43(35,6)7/h14-15,18,20,26,29-35,41,46-47,53-54H,10-13,16-17,19,21-25H2,1-9H3/b15-14+,27-18+,28-20+/t26-,29-,30+,31+,32-,33+,34-,35+,41+,44+,45-/m1/s1
国际化学标识检索码 InChIKey SZVIECHSRIAHOF-LYSQEUSESA-N
物理化学性质
密度 1.275g/cm3 (计算值)
沸点 924.952°C at 760 mmHg (计算值)
闪点 262.832°C (计算值)
市场分析报告
请浏览藓苔抑制素8市场分析报告总目录
相关产品
(2S)-2-[[(2S)-2-氨基-3-苯基丙酰...  6-氯-1-(3-二甲基氨基丙基)-3-甲基喹喔啉...  2-(二(2-羟基乙基)氨基)乙醇;2-苯基硫基乙...  ((4-氟苯基)磺酰基)-乙酸化合物与2,2',2...  2-(二(2-羟基乙基)氨基)乙醇2-(2,4-二...  4-[(E)-2-(2,6-二甲基苯基)乙烯基]-...  [1-(2-甲氧基苯基)丙-2-基氨基]-丙-2-...  二(2-羟基乙基)-甲基-十三烷基氯化铵  N-(4-苯基偶氮苯基)-4,5-二氢-1,3-恶...  (6E)-6-[(2,2-二甲基肼基)亚甲基]-2...  2-[[2-氯-5-(三氟甲基)苯基]氨基]苯甲酸  2-[[2,5-二(三氟甲基)苯基]氨基]苯甲酸  1-叔-丁基-3-[(4-氯苯基)-苯基甲氧基]吡...  3-二苯甲基氧基-1-叔-丁基吡咯烷盐酸盐  1-环己基-3-[二(苯基)甲氧基]吡咯烷