Online Database of Chemicals from Around the World

(1S,3S,5Z,7R,8E,11S,12S,13E,15S,17R,21R,23R,25S)-25-(Acetyloxy)-1,11,21-Trihydroxy-17-(1R)-1-Hydroxyethyl-5,13-Bis(2-Methoxy-2-Oxoethylidene)-10,10,26,26-Tetramethyl-19-Oxo-18,27,28,29-Tetraoxatetracyclo21.3.1.13,7.111,15Nonacos-8-En-12-Yl-Butanoic Acid
[CAS# 102604-78-4]

Suppliers
CAS#: 102604-78-4
Product: (1S,3S,5Z,7R,8E,11S,12S,13E,15S,17R,21R,23R,25S)-25-(Acetyloxy)-1,11,21-Trihydroxy-17-(1R)-1-Hydroxyethyl-5,13-Bis(2-Methoxy-2-Oxoethylidene)-10,10,26,26-Tetramethyl-19-Oxo-18,27,28,29-Tetraoxatetracyclo21.3.1.13,7.111,15Nonacos-8-En-12-Yl-Butanoic Acid
No suppilers available for the product.
Identification
Name (1S,3S,5Z,7R,8E,11S,12S,13E,15S,17R,21R,23R,25S)-25-(Acetyloxy)-1,11,21-Trihydroxy-17-(1R)-1-Hydroxyethyl-5,13-Bis(2-Methoxy-2-Oxoethylidene)-10,10,26,26-Tetramethyl-19-Oxo-18,27,28,29-Tetraoxatetracyclo21.3.1.13,7.111,15Nonacos-8-En-12-Yl-Butanoic Acid
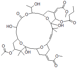
Molecular Structure CAS#: 102604-78-4, (1S,3S,5Z,7R,8E,11S,12S,13E,15S,17R,21R,23R,25S)-25-(Acetyloxy)-1,11,21-Trihydroxy-17-(1R)-1-Hydroxyethyl-5,13-Bis(2-Methoxy-2-Oxoethylidene)-10,10,26,26-Tetramethyl-19-Oxo-18,27,28,29-Tetraoxatetracyclo21.3.1.13,7.111,15Nonacos-8-En-12-Yl-Butanoic Acid
Molecular Formula C43H64O17
Molecular Weight 852.97
CAS Registry Number 102604-78-4
SMILES C\4(C1(OC(C\C(C1OC(=O)CCC)=C\C(OC)=O)CC(OC(=O)CC(O)CC2OC(O)(C(C(OC(=O)C)C2)(C)C)CC3OC(CC(/C3)=C\C(OC)=O)\C=C4)C(O)C)O)(C)C
InChI 1S/C43H64O17/c1-10-11-35(47)58-39-27(18-37(49)54-9)17-30-21-33(24(2)44)57-38(50)20-28(46)19-31-22-34(55-25(3)45)41(6,7)42(51,59-31)23-32-15-26(16-36(48)53-8)14-29(56-32)12-13-40(4,5)43(39,52)60-30/h12-13,16,18,24,28-34,39,44,46,51-52H,10-11,14-15,17,19-23H2,1-9H3/b13-12-,26-16+,27-18-
InChIKey LJHLORJKOHOIPQ-KAGVQMPYSA-N
Properties
Density 1.294g/cm3 (Cal.)
Boiling point 911.878°C at 760 mmHg (Cal.)
Flash point 262.47°C (Cal.)
Market Analysis Reports
List of Reports Available for (1S,3S,5Z,7R,8E,11S,12S,13E,15S,17R,21R,23R,25S)-25-(Acetyloxy)-1,11,21-Trihydroxy-17-(1R)-1-Hydroxyethyl-5,13-Bis(2-Methoxy-2-Oxoethylidene)-10,10,26,26-Tetramethyl-19-Oxo-18,27,28,29-Tetraoxatetracyclo21.3.1.13,7.111,15Nonacos-8-En-12-Yl-Butanoic Acid
Related Products
17-Hydroxy-20-Yohimban-16-(N-4-Amino-3-I...  (1S,2R)-5-Methoxy-N,N,1-Trimethyl-1,2,3,...  (3S,8S,9S,10R,13R,14S,17R)-10,13-Dimethy...  (E)-3,7,11,15-Tetramethylhexadec-2-En-1-...  2-Diethylaminoethyl N-(2-Heptoxyphenyl)C...  7-Chloro-2-[(4-Methoxyphenyl)Methyl]-3-M...  3-(4-Amino-2-Methoxybenzoyl)Oxypropyl-Di...  1-[2-(Dimethylaminomethyl)-6-Methoxy-4-P...  1-[2-Methoxy-4-Prop-2-Enyl-6-(Pyrrolidin...  2,3-Dibromo-N,N-Diethylpropan-1-Amine Hy...  2-[4-(4-Chlorophenyl)-2-[(2-Methoxypheny...  2-[(E)-Hex-2-En-5-Ynyl]-2-Methyl-1,3-Thi...  2-(1,3-Benzodioxol-5-Yl)-3-[2-(Cyclohexy...  11-Propan-2-Ylsulfanylundecanoic Acid  N,N-Bis(1-Methoxyethyl)Undec-10-Enamide