Online Database of Chemicals from Around the World

(3S)-3-[[2-[[2-[[(2S)-2-[[(2R)-2-氨基-3-(1H-吲哚-3-基)丙酰]氨基]丙酰]氨基]乙酰基]氨基]乙酰基]氨基]-3-[[(1S)-1-羧基乙基]氨基甲酰]丙酸
[CAS# 103122-89-0]

基本信息
产品名称 (3S)-3-[[2-[[2-[[(2S)-2-[[(2R)-2-氨基-3-(1H-吲哚-3-基)丙酰]氨基]丙酰]氨基]乙酰基]氨基]乙酰基]氨基]-3-[[(1S)-1-羧基乙基]氨基甲酰]丙酸
英文名 (3S)-3-[[2-[[2-[[(2S)-2-[[(2R)-2-Amino-3-(1H-Indol-3-Yl)Propanoyl]Amino]Propanoyl]Amino]Acetyl]Amino]Acetyl]Amino]-3-[[(1S)-1-Carboxyethyl]Carbamoyl]Propanoic Acid
别名 (3S)-3-[[2-[[2-[[(2S)-2-[[(2R)-2-Amino-3-(1H-Indol-3-Yl)Propanoyl]Amino]Propanoyl]Amino]Acetyl]Amino]Acetyl]Amino]-4-[[(1S)-2-Hydroxy-1-Methyl-2-Oxo-Ethyl]Amino]-4-Oxo-Butanoic Acid; (3S)-3-[[2-[[2-[[(2S)-2-[[(2R)-2-Amino-3-(1H-Indol-3-Yl)-1-Oxopropyl]Amino]-1-Oxopropyl]Amino]-1-Oxoethyl]Amino]-1-Oxoethyl]Amino]-4-[[(1S)-2-Hydroxy-1-Methyl-2-Oxoethyl]Amino]-4-Oxobutanoic Acid; (3S)-3-[[2-[[2-[[(2S)-2-[[(2R)-2-Amino-3-(1H-Indol-3-Yl)Propanoyl]Amino]Propanoyl]Amino]Acetyl]Amino]Acetyl]Amino]-4-[[(1S)-2-Hydroxy-2-Keto-1-Methyl-Ethyl]Amino]-4-Keto-Butyric Acid
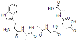
分子结构 CAS 登录号:103122-89-0, (3S)-3-[[2-[[2-[[(2S)-2-[[(2R)-2-氨基-3-(1H-吲哚-3-基)丙酰]氨基]丙酰]氨基]乙酰基]氨基]乙酰基]氨基]-3-[[(1S)-1-羧基乙基]氨基甲酰]丙酸
分子式 C25H33N7O9
分子量 575.58
CAS 登录号 103122-89-0
分子行输入简码 SMILES [C@@H](CC1=C[NH]C2=CC=CC=C12)(C(=O)N[C@H](C(NCC(NCC(N[C@@H](CC(O)=O)C(N[C@@H](C)C(O)=O)=O)=O)=O)=O)C)N
国际化学标识码 InChI 1S/C25H33N7O9/c1-12(30-23(38)16(26)7-14-9-27-17-6-4-3-5-15(14)17)22(37)29-10-19(33)28-11-20(34)32-18(8-21(35)36)24(39)31-13(2)25(40)41/h3-6,9,12-13,16,18,27H,7-8,10-11,26H2,1-2H3,(H,28,33)(H,29,37)(H,30,38)(H,31,39)(H,32,34)(H,35,36)(H,40,41)/t12-,13-,16+,18-/m0/s1
国际化学标识检索码 InChIKey AHEJFFMYYXEMQB-UALQAHIBSA-N
物理化学性质
密度 1.416g/cm3 (计算值)
沸点 1179.07°C at 760 mmHg (计算值)
闪点 666.877°C (计算值)
市场分析报告
请浏览(3S)-3-[[2-[[2-[[(2S)-2-[[(2R)-2-氨基-3-(1H-吲哚-3-基)丙酰]氨基]丙酰]氨基]乙酰基]氨基]乙酰基]氨基]-3-[[(1S)-1-羧基乙基]氨基甲酰]丙酸市场分析报告总目录
相关产品
4-(1,3-二氧代异吲哚-2-基)-N,N-二乙...  4-硝基戊烷酸甲酯  [(8R,9S,10R,13S,14S,17S)-...  4,5-二氢-2-((1,3-苯并二氧戊环-5-基...  4,5-二氢-N-1,3-苯并二氧戊环-5-基-1...  4,5-二氢-2-[2-(1-萘基)乙基]-1H-...  4,5-二氢-2-(2-(1,3-苯并二氧戊环-5...  4,5-二氢-2-(1,3-苯并二氧戊环-5-基)...  [2-甲基-3-(3-硫基丙酰氧基)-2-(3-硫...  4-(2,4-二氨基苯基)偶氮苯磺酰胺  甲基-[2-[(7-丙-2-烯基-2,3-二氢-1...  1-(苯基甲基)-4-(丙-2-基氨基)哌啶-4-...  1-(苯基甲基)-4-丙基氨基哌啶-4-甲酰胺  N-叔-丁基氧羰基-脯氨酰-丙氨酰-丙氨酰-甲基酰...  N-叔-丁基氧羰基-脯氨酰-甘氨酰-丙氨酰-甲基酰...