Online Database of Chemicals from Around the World

凯勃孢囊菌素C1
[CAS# 103549-47-9]

供应商
CAS#: 103549-47-9
产品: 凯勃孢囊菌素C1
暂时没有厂家供应该产品。
基本信息
产品名称 凯勃孢囊菌素C1
英文名 Kibdelin C1
别名 Ristomycin A Aglycone, 5,22,31,55-Tetrachloro-7-Demethyl-64-O-Demethyl-56-O-(2-Deoxy-2-((10-Methyl-1-Oxoundecyl)Amino)-Beta-D-Glucopyranosyl)-42-O-Alpha-D-Mannopyranosyl-N15-Methyl-
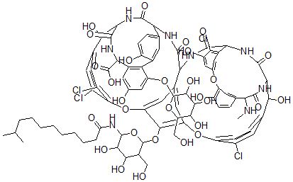
分子结构 CAS 登录号:103549-47-9, 凯勃孢囊菌素C1
分子式 C83H88Cl4N8O29
分子量 1803.46
CAS 登录号 103549-47-9
分子行输入简码 SMILES N5C7C(NC1C(NC%10C(NC(C(C9=CC(=C(OC2=CC1=CC(=C2OC3C(C(C(C(O3)NC(=O)CCCCCCCCC(C)C)O)O)CO)OC4=CC=C(C=C4Cl)C(C(C5=O)NC(C(C6=CC(=C(C=C6)O)OC8=CC7=C(C(=C8)O)Cl)NC)=O)O)C(=C9)Cl)Cl)O)C(NC(C%12=C(C%11=CC%10=CC=C%11O)C(=CC(=C%12)O)OC%13OC(C(C(C%13O)O)O)CO)C(O)=O)=O)=O)=O)=O
国际化学标识码 InChI 1S/C83H88Cl4N8O29/c1-31(2)10-8-6-4-5-7-9-11-55(102)89-80-70(108)67(105)42(29-96)82(124-80)123-73-52-23-35-24-53(73)120-72-44(85)20-36(21-45(72)86)66(104)64-79(115)93-62(81(116)117)40-25-37(98)26-51(121-83-71(109)69(107)68(106)54(30-97)122-83)56(40)39-18-32(12-15-46(39)99)59(75(111)95-64)90-76(112)60(35)91-77(113)61-41-27-38(28-48(101)57(41)87)118-50-22-33(13-16-47(50)100)58(88-3)74(110)94-63(78(114)92-61)65(103)34-14-17-49(119-52)43(84)19-34/h12-28,31,42,54,58-71,80,82-83,88,96-101,103-109H,4-11,29-30H2,1-3H3,(H,89,102)(H,90,112)(H,91,113)(H,92,114)(H,93,115)(H,94,110)(H,95,111)(H,116,117)
国际化学标识检索码 InChIKey KVTBZHRLYBPWNG-UHFFFAOYSA-N
物理化学性质
密度 1.69g/cm3 (计算值)
市场分析报告
请浏览凯勃孢囊菌素C1市场分析报告总目录
相关产品
1-[2-[4-[4-(三氟甲基)苯基]苯氧基]乙...  (E)-4-氧代壬-2-烯醛  N-(10,13-二甲基-1,2,3,4,5,6,...  [(8R,9S,13S,14S,17S)-3-羟基...  N-甲基-N-[(2S,3R,4R,5R)-2,3...  [(2R,3S,4R,5R)-5-乙酰氨基-2,3...  [(2R,3R,4R,5R)-5-乙酰氨基-2,3...  己二酸与2,2-二甲基-1,3-丙烷二醇,1,2-...  己二酸与1,4-丁二醇,1,6-二异氰酸己烷,2,...  (5S,8S,9S,10S,13R,14S)-10...  N-[2-[2-(二甲基-苯基硅烷基)乙硫基]乙基...  2-[4-[3-(4-氯苯基)-4,5-二氢吡唑-...  1,2,3,4,6,7,8,9-八溴二苯并呋喃  6-(1-甲氧基乙烯基)双环[2.2.1]庚烷  6-(1-甲氧基乙烯基)双环[2.2.1]庚-2-...