Online Database of Chemicals from Around the World

N-[(E,3R,4R,5R,9S,10S,11S)-11-[(1S,3S,4S,5S,7R,8S,9R,12E,14E,17S,19S)-4,17-二羟基-3,5,7-三甲氧基-4,8,14-三甲基-11-氧代-10,23-二氧杂双环[17.3.1]二十三碳-12,14,20-三烯-9-基]-10-羟基-4-甲氧基-3,5,9-三甲基-6-氧代十二碳-1-烯基]-N-甲基甲酰胺
[CAS# 105694-31-3]

供应商
CAS#: 105694-31-3
产品: N-[(E,3R,4R,5R,9S,10S,11S)-11-[(1S,3S,4S,5S,7R,8S,9R,12E,14E,17S,19S)-4,17-二羟基-3,5,7-三甲氧基-4,8,14-三甲基-11-氧代-10,23-二氧杂双环[17.3.1]二十三碳-12,14,20-三烯-9-基]-10-羟基-4-甲氧基-3,5,9-三甲基-6-氧代十二碳-1-烯基]-N-甲基甲酰胺
暂时没有厂家供应该产品。
基本信息
产品名称 N-[(E,3R,4R,5R,9S,10S,11S)-11-[(1S,3S,4S,5S,7R,8S,9R,12E,14E,17S,19S)-4,17-二羟基-3,5,7-三甲氧基-4,8,14-三甲基-11-氧代-10,23-二氧杂双环[17.3.1]二十三碳-12,14,20-三烯-9-基]-10-羟基-4-甲氧基-3,5,9-三甲基-6-氧代十二碳-1-烯基]-N-甲基甲酰胺
英文名 N-[(E,3R,4R,5R,9S,10S,11S)-11-[(1S,3S,4S,5S,7R,8S,9R,12E,14E,17S,19S)-4,17-Dihydroxy-3,5,7-Trimethoxy-4,8,14-Trimethyl-11-Oxo-10,23-Dioxabicyclo[17.3.1]Tricosa-12,14,20-Trien-9-Yl]-10-Hydroxy-4-Methoxy-3,5,9-Trimethyl-6-Oxododec-1-Enyl]-N-Methylformamide
别名 N-[(E,3R,4R,5R,9S,10S,11S)-11-[(1S,3S,4S,5S,7R,8S,9R,12E,14E,17S,19S)-4,17-Dihydroxy-3,5,7-Trimethoxy-4,8,14-Trimethyl-11-Oxo-10,23-Dioxabicyclo[17.3.1]Tricosa-12,14,20-Trien-9-Yl]-10-Hydroxy-4-Methoxy-3,5,9-Trimethyl-6-Oxo-Dodec-1-Enyl]-N-Methyl-Formamide; N-[(E,3R,4R,5R,9S,10S,11S)-11-[(1S,3S,4S,5S,7R,8S,9R,12E,14E,17S,19S)-4,17-Dihydroxy-11-Keto-3,5,7-Trimethoxy-4,8,14-Trimethyl-10,23-Dioxabicyclo[17.3.1]Tricosa-12,14,20-Trien-9-Yl]-10-Hydroxy-6-Keto-4-Methoxy-3,5,9-Trimethyl-Dodec-1-Enyl]-N-Methyl-Formamide; N-[(E,3R,4R,5R,9S,10S,11S)-11-[(1S,3S,4S,5S,7R,8S,9R,12E,14E,17S,19S)-4,17-Dihydroxy-3,5,7-Trimethoxy-4,8,14-Trimethyl-11-Oxo-10,23-Dioxabicyclo[17.3.1]Tricosa-12,14,20-Trien-9-Yl]-10-Hydroxy-4-Methoxy-3,5,9-Trimethyl-6-Oxo-Dodec-1-Enyl]-N-Methyl-Methanamide
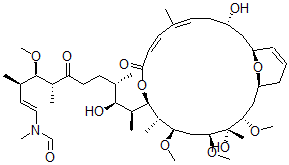
分子结构 CAS 登录号:105694-31-3, N-[(E,3R,4R,5R,9S,10S,11S)-11-[(1S,3S,4S,5S,7R,8S,9R,12E,14E,17S,19S)-4,17-二羟基-3,5,7-三甲氧基-4,8,14-三甲基-11-氧代-10,23-二氧杂双环[17.3.1]二十三碳-12,14,20-三烯-9-基]-10-羟基-4-甲氧基-3,5,9-三甲基-6-氧代十二碳-1-烯基]-N-甲基甲酰胺
分子式 C45H75NO12
分子量 822.09
CAS 登录号 105694-31-3
分子行输入简码 SMILES [C@@H]1(OC(=O)\C=C\C(=C\C[C@H](O)C[C@@H]2O[C@H](C[C@H](OC)[C@](O)([C@@H](OC)C[C@@H](OC)[C@@H]1C)C)CC=C2)C)[C@H]([C@@H](O)[C@H](CCC(=O)[C@@H]([C@H](OC)[C@@H](\C=C\N(C=O)C)C)C)C)C
国际化学标识码 InChI 1S/C45H75NO12/c1-28-16-19-34(48)24-35-14-13-15-36(57-35)25-39(54-10)45(7,52)40(55-11)26-38(53-9)32(5)44(58-41(50)21-17-28)33(6)42(51)29(2)18-20-37(49)31(4)43(56-12)30(3)22-23-46(8)27-47/h13-14,16-17,21-23,27,29-36,38-40,42-44,48,51-52H,15,18-20,24-26H2,1-12H3/b21-17+,23-22+,28-16+/t29-,30+,31-,32-,33-,34-,35+,36-,38+,39-,40-,42-,43+,44-,45-/m0/s1
国际化学标识检索码 InChIKey DWQQWNRHLJPIDV-WGJWUCMUSA-N
物理化学性质
密度 1.129g/cm3 (计算值)
沸点 901.448°C at 760 mmHg (计算值)
闪点 498.978°C (计算值)
市场分析报告
请浏览N-[(E,3R,4R,5R,9S,10S,11S)-11-[(1S,3S,4S,5S,7R,8S,9R,12E,14E,17S,19S)-4,17-二羟基-3,5,7-三甲氧基-4,8,14-三甲基-11-氧代-10,23-二氧杂双环[17.3.1]二十三碳-12,14,20-三烯-9-基]-10-羟基-4-甲氧基-3,5,9-三甲基-6-氧代十二碳-1-烯基]-N-甲基甲酰胺市场分析报告总目录
相关产品
N-[(E,3R,4R,5R,9S,10S,11S...  3-氧代-4,5,6,7-四氢-[1,2]恶唑并[...  3-氧代-4,5,6,7-四氢-[1,2]恶唑并[...  (3-乙酰氧基-2-羟基丙基)乙酸酯  二甲基(4-甲氧基苯基氧代甲基)膦酸酯  Yanangine  4-环己基-2,6-二甲苯酚  1-[(3S,4R,5S)-4,5-二甲基-2-氧...  [(2R,5R,8aR)-5,8alpha-二甲基...  3-乙酰氧基-3,4-二氢环戊烯并(Cd)芘  4-乙酰氧基-3,4-二氢环戊烯并(Cd)芘  6-羟基甲基蒽嵌蒽  3-[(3-甲氧基-3-氧代丙基)-甲基氨基]丙酸...  尼可氯酯  环美碘酚