Online Database of Chemicals from Around the World

Saframycin Y 2B-D
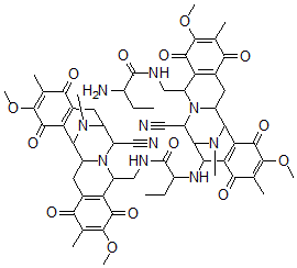
[CAS# 107163-30-4]

Suppliers
CAS#: 107163-30-4
Product: Saframycin Y 2B-D
No suppilers available for the product.
Identification
Name Saframycin Y 2B-D
Synonyms Saframycin Y2b-D; Saframycin-Y2b-D
Molecular Structure CAS#: 107163-30-4, Saframycin Y 2B-D
Molecular Formula C60H68N10O14
Molecular Weight 1153.26
CAS Registry Number 107163-30-4
SMILES C(NC(=O)C(N)CC)C9N1C(C7N(C(C1C#N)C(NC(C(=O)NCC5N2C(C3N(C(C2C#N)CC4=C3C(=O)C(=C(C4=O)C)OC)C)CC6=C5C(=O)C(=C(C6=O)C)OC)CC)C8=C7C(=O)C(=C(C8=O)C)OC)C)CC%10=C9C(=O)C(=C(C%10=O)C)OC
InChI 1S/C60H68N10O14/c1-13-29(63)59(79)64-20-37-39-27(48(72)23(4)56(82-10)52(39)76)17-33-45-42-41(50(74)25(6)58(84-12)54(42)78)43(46(68(45)8)35(19-62)70(33)37)66-30(14-2)60(80)65-21-36-38-26(47(71)22(3)55(81-9)51(38)75)16-32-44-40-28(49(73)24(5)57(83-11)53(40)77)15-31(67(44)7)34(18-61)69(32)36/h29-37,43-46,66H,13-17,20-21,63H2,1-12H3,(H,64,79)(H,65,80)
InChIKey ZGCGIZWQLPFXJT-UHFFFAOYSA-N
Market Analysis Reports
List of Reports Available for Saframycin Y 2B-D
Related Products
(4-Acetamido-3-Oxo-1,2-Oxazolidin-2-Yl) ...  Ethyl 6-Chloro-6-Oxohexanoate  (2S)-2-[[4-[(2-Amino-4-Oxo-5,6,7,8-Tetra...  Dichloro-(2-Cyanoethyl)Silicon  2,2,5,5-Tetramethylhexane  4-Bromo-5-[(3-Ethoxy-4-Methoxyphenyl)Met...  5-Bromo-N-[(1-Ethylpyrrolidin-2-Yl)Methy...  5-Bromo-N-[[1-[(4-Fluorophenyl)Methyl]Py...  N-[[(2S)-1-Ethylpyrrolidin-2-Yl]Methyl]-...  3-Bromo-N-[(1-Ethylpyrrolidin-2-Yl)Methy...  4-Acetyl-1-Methyl-7-Pyridin-4-Yl-5,6,7,8...  6-(5-Chloro-1-Methyl-2-Pyridin-3-Ylindol...  Butane-1,4-Diamine  2-Ethylaminoethyl Hydrogen Sulfate  2,6-Dimethylheptane