Online Database of Chemicals from Around the World

Lactogangliotetraosylceramide
[CAS# 107221-01-2]

Suppliers
CAS#: 107221-01-2
Product: Lactogangliotetraosylceramide
No suppilers available for the product.
Identification
Name Lactogangliotetraosylceramide
Synonyms N-[(E)-1-[[5-[4,5-Bis[[3-Acetamido-4,5-Dihydroxy-6-(Hydroxymethyl)Tetrahydropyran-2-Yl]Oxy]-3-Hydroxy-6-(Hydroxymethyl)Tetrahydropyran-2-Yl]Oxy-3,4-Dihydroxy-6-(Hydroxymethyl)Tetrahydropyran-2-Yl]Oxymethyl]-2-Hydroxy-Heptadec-3-Enyl]Tetracosanamide; N-[(E)-1-[[5-[[4,5-Bis[[3-Acetamido-4,5-Dihydroxy-6-(Hydroxymethyl)-2-Tetrahydropyranyl]Oxy]-3-Hydroxy-6-(Hydroxymethyl)-2-Tetrahydropyranyl]Oxy]-3,4-Dihydroxy-6-(Hydroxymethyl)-2-Tetrahydropyranyl]Oxymethyl]-2-Hydroxyheptadec-3-Enyl]Tetracosanamide; N-[(E)-1-[[5-[4,5-Bis[(3-Acetamido-4,5-Dihydroxy-6-Methylol-Tetrahydropyran-2-Yl)Oxy]-3-Hydroxy-6-Methylol-Tetrahydropyran-2-Yl]Oxy-3,4-Dihydroxy-6-Methylol-Tetrahydropyran-2-Yl]Oxymethyl]-2-Hydroxy-Heptadec-3-Enyl]Lignoceramide
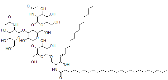
Molecular Structure CAS#: 107221-01-2, Lactogangliotetraosylceramide
Molecular Formula C70H129N3O23
Molecular Weight 1380.80
CAS Registry Number 107221-01-2
SMILES C(O)C3OC(OC1C(O)C(O)C(OC1CO)OCC(NC(=O)CCCCCCCCCCCCCCCCCCCCCCC)C(O)\C=C\CCCCCCCCCCCCC)C(O)C(OC2OC(C(O)C(O)C2NC(=O)C)CO)C3OC4OC(C(O)C(O)C4NC(=O)C)CO
InChI 1S/C70H129N3O23/c1-5-7-9-11-13-15-17-19-20-21-22-23-24-25-26-28-30-32-34-36-38-40-54(81)73-48(49(80)39-37-35-33-31-29-27-18-16-14-12-10-8-6-2)45-89-69-62(87)61(86)64(52(43-76)92-69)94-70-63(88)66(96-68-56(72-47(4)79)60(85)58(83)51(42-75)91-68)65(53(44-77)93-70)95-67-55(71-46(3)78)59(84)57(82)50(41-74)90-67/h37,39,48-53,55-70,74-77,80,82-88H,5-36,38,40-45H2,1-4H3,(H,71,78)(H,72,79)(H,73,81)/b39-37+
InChIKey YAVBLHXWKRSXJS-NHFVQZBWSA-N
Properties
Density 1.239g/cm3 (Cal.)
Boiling point 1366.824°C at 760 mmHg (Cal.)
Flash point 780.427°C (Cal.)
Market Analysis Reports
List of Reports Available for Lactogangliotetraosylceramide
Related Products
Dibenzofuran Tetrabromide Chloride  Dibenzofuran Tribromide Dichloride  4,6-Dibromo-1,2,3-Trichlorodibenzofuran  Dibenzofuran Tribromide Chloride  3,4-Dibromo-1,2-Dichlorodibenzofuran  2,3-Dibromo-1-Chlorodibenzofuran  3-Bromo-1,2-Dichlorodibenzofuran  Zinc(II)-octapentyl-phthalocyanine  1-Isothiocyanatododecane  Tridecyl Acetate  (3S,4R)-3-(4-Chlorophenyl)-4-Phenylpiper...  2-(4-Amino-5-Fluoropentyl)Guanidine  1-[2-(2-Methoxyethoxy)Ethoxy]-2-[2-[2-(2...  [(8S,9S,10R,13R,14S,17S)-10,13-Dimethyl-...  cis-N-Decyliminodiacetato-1,2-diaminocyc...