Online Database of Chemicals from Around the World

牟伦多菌素
[CAS# 108351-20-8]

供应商
CAS#: 108351-20-8
产品: 牟伦多菌素
暂时没有厂家供应该产品。
基本信息
产品名称 牟伦多菌素
英文名 Mulundocandin
别名 Aids096174; Mulundocandin
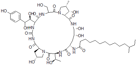
分子结构 CAS 登录号:108351-20-8, 牟伦多菌素
分子式 C49H78N8O17
分子量 1051.20
CAS 登录号 108351-20-8
分子行输入简码 SMILES [C@H]1([C@H](O)C3N(C1)C(=O)C(NC(=O)C(NC(=O)NC(=O)[C@H]2N(C[C@H](O)C2)C(=O)[C@@H](NC(=O)[C@@H](NC(=O)CCCCCCCCCCC(CC)C)C[C@@H](O)[C@@H](O)NC3=O)[C@H](O)C)[C@H](O)C(O)C4=CC=C(O)C=C4)CO)C
国际化学标识码 InChI 1S/C49H78N8O17/c1-5-25(2)14-12-10-8-6-7-9-11-13-15-35(63)50-31-21-34(62)44(69)54-46(71)38-39(64)26(3)22-57(38)47(72)32(24-58)51-45(70)37(41(66)40(65)28-16-18-29(60)19-17-28)53-49(74)55-43(68)33-20-30(61)23-56(33)48(73)36(27(4)59)52-42(31)67/h16-19,25-27,30-34,36-41,44,58-62,64-66,69H,5-15,20-24H2,1-4H3,(H,50,63)(H,51,70)(H,52,67)(H,54,71)(H2,53,55,68,74)/t25?,26-,27+,30+,31-,32?,33-,34+,36-,37?,38?,39-,40?,41-,44+/m0/s1
国际化学标识检索码 InChIKey UXIRFQPBPZYIBV-QQTLFGACSA-N
物理化学性质
密度 1.416g/cm3 (计算值)
市场分析报告
请浏览牟伦多菌素市场分析报告总目录
相关产品
(3E,5E,11E,13Z)-16-[4-[4-...  4-羟基-5-(1,2,3,4-四羟基丁基)咪唑烷...  [3-氨基-2-(4-氯苯基)丙基]膦酸  (2S,3R)-2-氨基-3-羟基-N-[(3Z,...  6-[4-氨基-5-(羟基甲基)-2-氧代嘧啶-1...  (2E,4E)-N-[(2S,3R)-3-羟基-1...  (2E,4E,8E)-N-[(2S,3R)-3-羟...  (2E,4E)-N-[(2S,3R)-3-羟基-1...  2-甲基-1-氧代-4-[(2E,6E)-3,7,...  2-甲基-3-[(2E,6E)-3,7,11-三甲...  1-羟基-2-甲基-3-[(2E,6E)-3,7,...  (5E)-6,10-二甲基-2-(4-甲基-5-氧...  溴-乙基-二甲基锡烷  氯-二乙基-甲基锡烷  1,5-二(环氧乙烷-2-基)戊烷-1,2,3,4...