Online Database of Chemicals from Around the World

(3E,5Z,7R,8S,9S,11Z,13Z,15S,16R)-16-[(3R,4S)-4-[(2R,4R,5S,6R)-4-[(2S,4R,5S,6R)-4,5-Dihydroxy-6-Methyloxan-2-Yl]Oxy-2-Hydroxy-5-Methyl-6-[(1E,3E)-Penta-1,3-Dienyl]Oxan-2-Yl]-3-Hydroxypentan-2-Yl]-8-Hydroxy-3,15-Dimethoxy-5,7,9,11-Tetramethyl-1-Oxacyclohexadeca-3,5,11,13-Tetraen-2-One
[CAS# 108375-77-5]

Suppliers
CAS#: 108375-77-5
Product: (3E,5Z,7R,8S,9S,11Z,13Z,15S,16R)-16-[(3R,4S)-4-[(2R,4R,5S,6R)-4-[(2S,4R,5S,6R)-4,5-Dihydroxy-6-Methyloxan-2-Yl]Oxy-2-Hydroxy-5-Methyl-6-[(1E,3E)-Penta-1,3-Dienyl]Oxan-2-Yl]-3-Hydroxypentan-2-Yl]-8-Hydroxy-3,15-Dimethoxy-5,7,9,11-Tetramethyl-1-Oxacyclohexadeca-3,5,11,13-Tetraen-2-One
No suppilers available for the product.
Identification
Name (3E,5Z,7R,8S,9S,11Z,13Z,15S,16R)-16-[(3R,4S)-4-[(2R,4R,5S,6R)-4-[(2S,4R,5S,6R)-4,5-Dihydroxy-6-Methyloxan-2-Yl]Oxy-2-Hydroxy-5-Methyl-6-[(1E,3E)-Penta-1,3-Dienyl]Oxan-2-Yl]-3-Hydroxypentan-2-Yl]-8-Hydroxy-3,15-Dimethoxy-5,7,9,11-Tetramethyl-1-Oxacyclohexadeca-3,5,11,13-Tetraen-2-One
Synonyms (3E,5Z,7R,8S,9S,11Z,13Z,15S,16R)-16-[(2R,3S)-3-[(2R,4R,5S,6R)-4-[(2S,4R,5S,6R)-4,5-Dihydroxy-6-Methyl-Tetrahydropyran-2-Yl]Oxy-2-Hydroxy-5-Methyl-6-[(1E,3E)-Penta-1,3-Dienyl]Tetrahydropyran-2-Yl]-2-Hydroxy-1-Methyl-Butyl]-8-Hydroxy-3,15-Dimethoxy-5,7,9,11-Tetramethyl-1-Oxacyclohexadeca-3,5,11,13-Tetraen-2-One; (3E,5Z,7R,8S,9S,11Z,13Z,15S,16R)-16-[(2R,3S)-3-[(2R,4R,5S,6R)-4-[[(2S,4R,5S,6R)-4,5-Dihydroxy-6-Methyl-2-Tetrahydropyranyl]Oxy]-2-Hydroxy-5-Methyl-6-[(1E,3E)-Penta-1,3-Dienyl]-2-Tetrahydropyranyl]-2-Hydroxy-1-Methylbutyl]-8-Hydroxy-3,15-Dimethoxy-5,7,9,11-Tetramethyl-1-Oxacyclohexadeca-3,5,11,13-Tetraen-2-One; (3E,5Z,7R,8S,9S,11Z,13Z,15S,16R)-16-[(3R,4S)-4-[(2R,4R,5S,6R)-4-[(2S,4R,5S,6R)-4,5-Dihydroxy-6-Methyl-Oxan-2-Yl]Oxy-2-Hydroxy-5-Methyl-6-[(1E,3E)-Penta-1,3-Dienyl]Oxan-2-Yl]-3-Hydroxy-Pentan-2-Yl]-8-Hydroxy-3,15-Dimethoxy-5,7,9,11-Tetramethyl-1-Oxacyclohexadeca-3,5,11,13-Tetraen-2-One
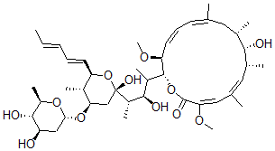
Molecular Structure CAS#: 108375-77-5, (3E,5Z,7R,8S,9S,11Z,13Z,15S,16R)-16-[(3R,4S)-4-[(2R,4R,5S,6R)-4-[(2S,4R,5S,6R)-4,5-Dihydroxy-6-Methyloxan-2-Yl]Oxy-2-Hydroxy-5-Methyl-6-[(1E,3E)-Penta-1,3-Dienyl]Oxan-2-Yl]-3-Hydroxypentan-2-Yl]-8-Hydroxy-3,15-Dimethoxy-5,7,9,11-Tetramethyl-1-Oxacyclohexadeca-3,5,11,13-Tetraen-2-One
Molecular Formula C43H68O12
Molecular Weight 777.00
CAS Registry Number 108375-77-5
SMILES [C@]2(O[C@@H]([C@H]([C@H](O[C@H]1O[C@@H]([C@@H](O)[C@H](O)C1)C)C2)C)\C=C\C=C\C)(O)[C@H]([C@H](O)C([C@H]3OC(=O)C(=C\C(=C/[C@H]([C@@H](O)[C@H](CC(=C\C=C/[C@@H]3OC)/C)C)C)C)/OC)C)C
InChI 1S/C43H68O12/c1-12-13-14-17-33-28(6)36(53-37-22-32(44)40(47)31(9)52-37)23-43(49,55-33)30(8)39(46)29(7)41-34(50-10)18-15-16-24(2)19-26(4)38(45)27(5)20-25(3)21-35(51-11)42(48)54-41/h12-18,20-21,26-34,36-41,44-47,49H,19,22-23H2,1-11H3/b13-12+,17-14+,18-15-,24-16-,25-20-,35-21+/t26-,27+,28+,29?,30-,31+,32+,33+,34-,36+,37+,38-,39+,40+,41+,43+/m0/s1
InChIKey GBRLJEHLCUILHG-KIRYWGJYSA-N
Safety Data
SDS Available
Market Analysis Reports
List of Reports Available for (3E,5Z,7R,8S,9S,11Z,13Z,15S,16R)-16-[(3R,4S)-4-[(2R,4R,5S,6R)-4-[(2S,4R,5S,6R)-4,5-Dihydroxy-6-Methyloxan-2-Yl]Oxy-2-Hydroxy-5-Methyl-6-[(1E,3E)-Penta-1,3-Dienyl]Oxan-2-Yl]-3-Hydroxypentan-2-Yl]-8-Hydroxy-3,15-Dimethoxy-5,7,9,11-Tetramethyl-1-Oxacyclohexadeca-3,5,11,13-Tetraen-2-One
Related Products
Diethyl 2-[4-[4-(2-Methoxyphenyl)Piperaz...  (2R)-N'-Hydroxy-N-[(2S)-1-Methylamino-1-...  3-(Acetyloxy)-2,3-Dihydro-2-(4-Methoxyph...  1-Keto-24-methyl-25-hydroxycholecalcifer...  (2S,3aS,7aS)-1-((S)-N-((S)-1-Carboxypent...  [(E,2S,3R)-3-Hydroxy-2-[[(Z)-Octadec-9-E...  (2S)-2-[[(4S)-4-[[4-[(2-Amino-8-Methyl-4...  9-Fluoro-6,7-Dihydro-5-Methyl-8-(4-Methy...  3-Amino-5-[(3-Aminophenyl)Amino]-6-Chlor...  (2S)-2-Amino-3-(3-Methyl-5-Sulfanylimida...  Trimethyl-(2-Tetradecanoyloxyethyl)Azani...  3,4-Dimethylhexyl Acetate  (4-Ethyl-3-Methylhexyl) Acetate  (4-Ethyl-3-Methylheptyl) Acetate  (3,4-Diethyl-6-Methyloctyl) Acetate