基本信息
| 产品名称 |
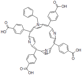
4,4',4'',4'''-(21-(苯基甲基)-21H,23H-卟吩-5,10,15,20-四基)四-苯甲酸 |
| 英文名 |
4,4',4'',4'''-(21-(Phenylmethyl)-21H,23H-Porphine-5,10,15,20-Tetrayl)Tetrakis-Benzoic Acid |
| 别名 |
N-Benzyl-5,10,15,20-Tetrakis(4-Carboxyphenyl)Porphine; N-Bzhtcpp |
|
| 分子结构 |
 |
| 分子式 |
C55H36N4O8 |
| 分子量 |
880.91 |
| CAS 登录号 |
108440-59-1 |
| 分子行输入简码 SMILES |
[N]4(C5=C(C1=CC=C(C=C1)C(O)=O)C9=NC(=C(C2=CC=C(C=C2)C(O)=O)C8=CC=C(C(=C3N=C(C=C3)C(=C4C=C5)C6=CC=C(C=C6)C(O)=O)C7=CC=C(C=C7)C(O)=O)[NH]8)C=C9)CC%10=CC=CC=C%10 |
| 国际化学标识码 InChI |
1S/C55H36N4O8/c60-52(61)36-14-6-32(7-15-36)48-40-22-23-41(56-40)49(33-8-16-37(17-9-33)53(62)63)43-25-27-45(58-43)51(35-12-20-39(21-13-35)55(66)67)47-29-28-46(59(47)30-31-4-2-1-3-5-31)50(44-26-24-42(48)57-44)34-10-18-38(19-11-34)54(64)65/h1-29,56H,30H2,(H,60,61)(H,62,63)(H,64,65)(H,66,67) |
| 国际化学标识检索码 InChIKey |
TYKXQJUSHZBYAO-UHFFFAOYSA-N |
|