基本信息
| 产品名称 |
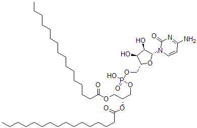
[(2R)-3-[[(2R,3S,4R,5R)-5-(4-氨基-2-氧代嘧啶-1-基)-3,4-二羟基四氢呋喃-2-基]甲氧基-羟基磷酰]氧基-2-棕榈酰氧基丙基]十六烷酸酯 |
| 英文名 |
[(2R)-3-[[(2R,3S,4R,5R)-5-(4-Amino-2-Oxopyrimidin-1-Yl)-3,4-Dihydroxyoxolan-2-Yl]Methoxy-Hydroxyphosphoryl]Oxy-2-Hexadecanoyloxypropyl] Hexadecanoate |
| 别名 |
[(2R)-3-[[(2R,3S,4R,5R)-5-(4-Amino-2-Oxo-Pyrimidin-1-Yl)-3,4-Dihydroxy-Tetrahydrofuran-2-Yl]Methoxy-Hydroxy-Phosphoryl]Oxy-2-Hexadecanoyloxy-Propyl] Hexadecanoate; Hexadecanoic Acid [(2R)-3-[[(2R,3S,4R,5R)-5-(4-Amino-2-Oxo-1-Pyrimidinyl)-3,4-Dihydroxy-2-Tetrahydrofuranyl]Methoxy-Hydroxyphosphoryl]Oxy-2-(1-Oxohexadecoxy)Propyl] Ester; Palmitic Acid [(2R)-3-[[(2R,3S,4R,5R)-5-(4-Amino-2-Keto-Pyrimidin-1-Yl)-3,4-Dihydroxy-Tetrahydrofuran-2-Yl]Methoxy-Hydroxy-Phosphoryl]Oxy-2-Hexadecanoyloxy-Propyl] Ester |
|
| 分子结构 |
![CAS 登录号:109430-98-0, [(2R)-3-[[(2R,3S,4R,5R)-5-(4-氨基-2-氧代嘧啶-1-基)-3,4-二羟基四氢呋喃-2-基]甲氧基-羟基磷酰]氧基-2-棕榈酰氧基丙基]十六烷酸酯](/moreStructures/109430-98-0.gif) |
| 分子式 |
C44H80N3O12P |
| 分子量 |
874.10 |
| CAS 登录号 |
109430-98-0 |
| 分子行输入简码 SMILES |
[C@@H]1(CO[P](=O)(OC[C@@H](COC(CCCCCCCCCCCCCCC)=O)OC(CCCCCCCCCCCCCCC)=O)O)[C@@H](O)[C@@H](O)[C@@H](O1)N2C(=O)N=C(N)C=C2 |
| 国际化学标识码 InChI |
1S/C44H80N3O12P/c1-3-5-7-9-11-13-15-17-19-21-23-25-27-29-39(48)55-33-36(58-40(49)30-28-26-24-22-20-18-16-14-12-10-8-6-4-2)34-56-60(53,54)57-35-37-41(50)42(51)43(59-37)47-32-31-38(45)46-44(47)52/h31-32,36-37,41-43,50-51H,3-30,33-35H2,1-2H3,(H,53,54)(H2,45,46,52)/t36-,37-,41-,42-,43-/m1/s1 |
| 国际化学标识检索码 InChIKey |
FSGOTRMUMPHHJV-BQUKFSKHSA-N |
|