Online Database of Chemicals from Around the World

黄夹苷
[CAS# 11018-93-2]

供应商
CAS#: 11018-93-2
产品: 黄夹苷
暂时没有厂家供应该产品。
基本信息
产品名称 黄夹苷
英文名 Thevetin
别名 4-[(3S,5R,8R,9S,10S,13R,14S)-14-Hydroxy-3-[(2S,3R,4R,5R,6S)-3-Hydroxy-4-Methoxy-6-Methyl-5-[(2S,3R,4S,5S,6R)-3,4,5-Trihydroxy-6-[[(2R,3R,4S,5S,6R)-3,4,5-Trihydroxy-6-(Hydroxymethyl)Tetrahydropyran-2-Yl]Oxymethyl]Tetrahydropyran-2-Yl]Oxy-Tetrahydropyran-2-Yl]Oxy-10,13-Dimethyl-1,2,3,4,5,6,7,8,9,11,12,15,16,17-Tetradecahydrocyclopenta[A]Phenanthren-17-Yl]-5H-Furan-2-One; 4-[(3S,5R,8R,9S,10S,13R,14S)-14-Hydroxy-3-[[(2S,3R,4R,5R,6S)-3-Hydroxy-4-Methoxy-6-Methyl-5-[[(2S,3R,4S,5S,6R)-3,4,5-Trihydroxy-6-[[(2R,3R,4S,5S,6R)-3,4,5-Trihydroxy-6-(Hydroxymethyl)-2-Tetrahydropyranyl]Oxymethyl]-2-Tetrahydropyranyl]Oxy]-2-Tetrahydropyranyl]Oxy]-10,13-Dimethyl-1,2,3,4,5,6,7,8,9,11,12,15,16,17-Tetradecahydrocyclopenta[A]Phenanthren-17-Yl]-5H-Furan-2-One; 4-[(3S,5R,8R,9S,10S,13R,14S)-14-Hydroxy-3-[(2S,3R,4R,5R,6S)-3-Hydroxy-4-Methoxy-6-Methyl-5-[(2S,3R,4S,5S,6R)-3,4,5-Trihydroxy-6-[[(2R,3R,4S,5S,6R)-3,4,5-Trihydroxy-6-Methylol-Tetrahydropyran-2-Yl]Oxymethyl]Tetrahydropyran-2-Yl]Oxy-Tetrahydropyran-2-Yl]Oxy-10,13-Dimethyl-1,2,3,4,5,6,7,8,9,11,12,15,16,17-Tetradecahydrocyclopenta[A]Phenanthren-17-Yl]-5H-Furan-2-One
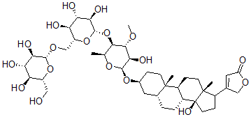
分子结构 CAS 登录号:11018-93-2, 黄夹苷
分子式 C42H66O18
分子量 858.97
CAS 登录号 11018-93-2
EINECS 登录号 234-249-3
分子行输入简码 SMILES [C@H]16[C@@H]([C@@]5([C@H](CC1)C[C@@H](O[C@H]4O[C@H]([C@@H](O[C@@H]2O[C@@H]([C@@H](O)[C@H](O)[C@H]2O)CO[C@@H]3O[C@@H]([C@@H](O)[C@H](O)[C@H]3O)CO)[C@H](OC)[C@H]4O)C)CC5)C)CC[C@]7([C@]6(O)CCC7C8=CC(OC8)=O)C
国际化学标识码 InChI 1S/C42H66O18/c1-18-35(60-38-33(50)31(48)29(46)26(59-38)17-55-37-32(49)30(47)28(45)25(15-43)58-37)36(53-4)34(51)39(56-18)57-21-7-10-40(2)20(14-21)5-6-24-23(40)8-11-41(3)22(9-12-42(24,41)52)19-13-27(44)54-16-19/h13,18,20-26,28-39,43,45-52H,5-12,14-17H2,1-4H3/t18-,20+,21-,22?,23-,24+,25+,26+,28+,29+,30-,31-,32+,33+,34+,35+,36+,37+,38-,39+,40-,41+,42-/m0/s1
国际化学标识检索码 InChIKey GZVMBXDQUQRICT-TZNWHQCUSA-N
物理化学性质
密度 1.464g/cm3 (计算值)
沸点 1008°C at 760 mmHg (计算值)
闪点 298.055°C (计算值)
市场分析报告
请浏览黄夹苷市场分析报告总目录
相关产品
(5R-反式)-5,6-二氢-6-[(2,3,4,...  3,4alpha-二氯-10alpha-[(2E)...  (1aS,7aR)-1a-[(2E)-3,7-二甲...  3-偶氮基-1a-[(2E)-3,7-二甲基辛-2...  (6S)-7-氯-4-偶氮基-6-[(2E)-3,...  3,4alpha-二氯-9-偶氮基-10alpha...  (3R)-3-氯-2-[(2E)-3,7-二甲基辛...  (1S,2R,3S,4S,5R,8R,9S,10R...  (2S)-2-[[(2R)-2-氨基-2-苯基乙酰...  1,5,8-三甲基-1,2-二氢薁并[6,7-B]...  Youlemycin  草质素8-O-葡糖苷  4'-Cinnamoylmussatioside  1(beta-巯基(beta,beta-环戊基亚甲...  (2,3)-alpha-亚甲基苄基青霉素