Online Database of Chemicals from Around the World

[5-Hydroxy-2-Methyl-6-[[3,4,5-Trihydroxy-6-[2-(4-Hydroxyphenyl)Ethoxy]Oxan-2-Yl]Methoxy]-4-(3,4,5-Trihydroxyoxan-2-Yl)Oxyoxan-3-Yl] (E)-3-(4-Methoxyphenyl)Prop-2-Enoate
[CAS# 110267-42-0]

Suppliers
CAS#: 110267-42-0
Product: [5-Hydroxy-2-Methyl-6-[[3,4,5-Trihydroxy-6-[2-(4-Hydroxyphenyl)Ethoxy]Oxan-2-Yl]Methoxy]-4-(3,4,5-Trihydroxyoxan-2-Yl)Oxyoxan-3-Yl] (E)-3-(4-Methoxyphenyl)Prop-2-Enoate
No suppilers available for the product.
Identification
Name [5-Hydroxy-2-Methyl-6-[[3,4,5-Trihydroxy-6-[2-(4-Hydroxyphenyl)Ethoxy]Oxan-2-Yl]Methoxy]-4-(3,4,5-Trihydroxyoxan-2-Yl)Oxyoxan-3-Yl] (E)-3-(4-Methoxyphenyl)Prop-2-Enoate
Synonyms [5-Hydroxy-2-Methyl-6-[[3,4,5-Trihydroxy-6-[2-(4-Hydroxyphenyl)Ethoxy]Tetrahydropyran-2-Yl]Methoxy]-4-(3,4,5-Trihydroxytetrahydropyran-2-Yl)Oxy-Tetrahydropyran-3-Yl] (E)-3-(4-Methoxyphenyl)Prop-2-Enoate; (E)-3-(4-Methoxyphenyl)Prop-2-Enoic Acid [5-Hydroxy-2-Methyl-6-[[3,4,5-Trihydroxy-6-[2-(4-Hydroxyphenyl)Ethoxy]-2-Tetrahydropyranyl]Methoxy]-4-[(3,4,5-Trihydroxy-2-Tetrahydropyranyl)Oxy]-3-Tetrahydropyranyl] Ester; (E)-3-(4-Methoxyphenyl)Acrylic Acid [5-Hydroxy-2-Methyl-6-[[3,4,5-Trihydroxy-6-[2-(4-Hydroxyphenyl)Ethoxy]Tetrahydropyran-2-Yl]Methoxy]-4-(3,4,5-Trihydroxytetrahydropyran-2-Yl)Oxy-Tetrahydropyran-3-Yl] Ester
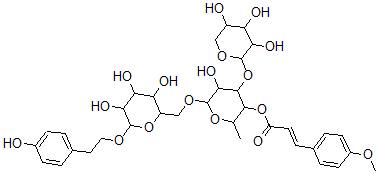
Molecular Structure CAS#: 110267-42-0, [5-Hydroxy-2-Methyl-6-[[3,4,5-Trihydroxy-6-[2-(4-Hydroxyphenyl)Ethoxy]Oxan-2-Yl]Methoxy]-4-(3,4,5-Trihydroxyoxan-2-Yl)Oxyoxan-3-Yl] (E)-3-(4-Methoxyphenyl)Prop-2-Enoate
Molecular Formula C35H46O17
Molecular Weight 738.74
CAS Registry Number 110267-42-0
SMILES C5=C(CCOC1C(O)C(O)C(O)C(O1)COC4C(O)C(OC2C(C(C(CO2)O)O)O)C(OC(=O)\C=C\C3=CC=C(OC)C=C3)C(O4)C)C=CC(=C5)O
InChI 1S/C35H46O17/c1-17-31(51-24(38)12-7-18-5-10-21(45-2)11-6-18)32(52-34-28(42)25(39)22(37)15-47-34)30(44)35(49-17)48-16-23-26(40)27(41)29(43)33(50-23)46-14-13-19-3-8-20(36)9-4-19/h3-12,17,22-23,25-37,39-44H,13-16H2,1-2H3/b12-7+
InChIKey ZSSONUOCZAKCRR-KPKJPENVSA-N
Properties
Density 1.508g/cm3 (Cal.)
Boiling point 958.207°C at 760 mmHg (Cal.)
Flash point 296.816°C (Cal.)
Market Analysis Reports
List of Reports Available for [5-Hydroxy-2-Methyl-6-[[3,4,5-Trihydroxy-6-[2-(4-Hydroxyphenyl)Ethoxy]Oxan-2-Yl]Methoxy]-4-(3,4,5-Trihydroxyoxan-2-Yl)Oxyoxan-3-Yl] (E)-3-(4-Methoxyphenyl)Prop-2-Enoate
Related Products
3,8,9-Trihydroxy-3-Methyl-10-(1,6,9-Trih...  (4aR,10bR)-9-Methoxy-4-(Phenylmethyl)-2,...  3-Hydroxy-3,4-Dihydro-1H-Benzo[g]Isochro...  5-Amino-1,3-Dimethylbenzimidazol-2-One  2-Methyl-3-(Piperidin-1-Ylmethyl)Naphtha...  8-Methylnonyl 6-Methylheptyl Hexanedioat...  2-[3-[4,5-Dihydroxy-5-(Hydroxymethyl)Oxo...  1-[2-[Bis[4-(Trifluoromethyl)Phenyl]Meth...  1-[2-[Bis[4-(Trifluoromethyl)Phenyl]Meth...  1-Menthene  2-(4,6-Dimethoxypyrimidin-2-Yl)Oxybenzoi...  4-[(5R,10S,13R,14S,17R)-14-Hydroxy-10,13...  2-Amino-9-[(2S,3S,4S)-2-Fluoro-3-Hydroxy...  Decyl Octyl Hexanedioate  1alpha-Acetylmitomycin C